电脑桌面
添加小米粒文库到电脑桌面
安装后可以在桌面快捷访问

化工热力学(第三版)陈钟秀课后习题答案

化工热力学(第三版)陈钟秀课后习题答案_第1页
1/19
化工热力学(第三版)陈钟秀课后习题答案_第2页
2/19
化工热力学(第三版)陈钟秀课后习题答案_第3页
3/19
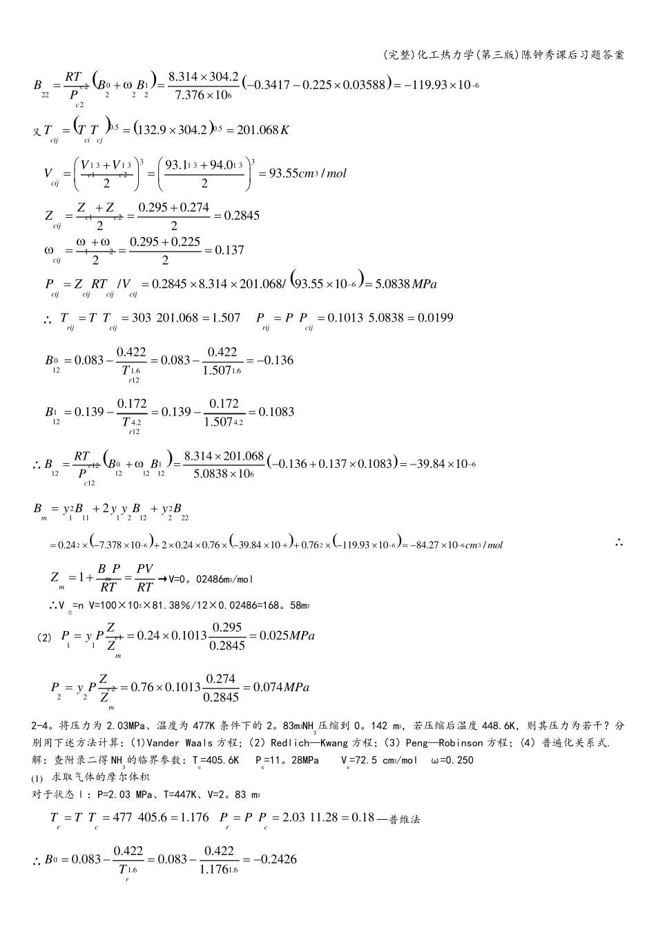
(完整)化工热力学(第三版)陈钟秀课后习题答案 第二章 2-1.使用下述方法计算1kmol 甲烷贮存在体积为0.1246m3、温度为50℃的容器中产生的压力:(1)理想气体方程;(2)R-K方程;(3)普遍化关系式。 解:甲烷的摩尔体积V=0.1246 m3/1kmol=124.6 cm3/mol 查附录二得甲烷的临界参数:Tc=190.6K Pc=4。600MPa Vc=99 cm3/mol ω=0.008 (1 ) 理想气体方程 P=RT/V=8。314×323。15/124.6×10-6=21.56MPa (2 ) R—K 方程 22 .522 .560 .5268 .3 1 41 9 0 .60 .4 2 7 4 80 .4 2 7 4 83 .2 2 24 .61 0ccR TaPa mKmolP 53168 .3 1 41 9 0 .60 .0 8 6 6 40 .0 8 6 6 42 .9 8 51 04 .61 0ccRTbmmolP ∴0 .5RTaPVbT V Vb 50 .5558 .3 1 43 2 3 .1 53 .2 2 21 2 .4 62 .9 8 51 03 2 3 .1 51 2 .4 61 01 2 .4 62 .9 8 51 0 =19.04MPa (3 ) 普遍化关系式 3 2 3 .1 5 1 9 0 .61 .6 9 5rcTT T 1 2 4 .6 9 91 .2 5 9rcVV V<2 ∴利用普压法计算,01ZZZ crZRTPP PV ∴ crPVZPRT 654 .61 01 2 .4 61 00 .2 1 3 38 .3 1 43 2 3 .1 5crrrPVZPPPRT 迭代:令 Z0=1→Pr0=4。687 又 Tr=1。695,查附录三得:Z0=0.8938 Z1=0。4623 01ZZZ=0.8938+0。008×0。4623=0。8975 此时,P=PcPr=4.6×4。687=21。56MPa 同理,取 Z1=0.8975 依上述过程计算,直至计算出的相邻的两个 Z 值相差很小,迭代结束,得Z 和 P 的值。 ∴ P=19。22MPa 2—2.分别使用理想气体方程和 Pitzer 普遍化关系式计算510K、2。5MPa 正丁烷的摩尔体积。已知实验值为1480.7cm3/mol。 解:查附录二得正丁烷的临界参数:Tc=425.2K Pc=3.800MPa Vc=99 cm3/mol ω=0.193 (1)理想气体方程 V=RT/P=8。314×510/2。5×106=1.696×10—3m3/mol 误差:1 .6 9 61 .4 8 0 71 0 0 %1 4 .5 4 %1 .4 8 0 7 (2)Pitzer 普遍化关系式 (完整)化工热力学(第三版)陈钟秀课后习题答案 对比参数:5 1 0 4 2 5 .21 .1 9 9rcTT T 2 .5 3 .80 .6 5 7 9rcPP P—普维法 ∴ 01 .61 .60 .4 2 20 .4 2 20 .0 8 30 .0 8 30 ...

1、当您付费下载文档后,您只拥有了使用权限,并不意味着购买了版权,文档只能用于自身使用,不得用于其他商业用途(如 [转卖]进行直接盈利或[编辑后售卖]进行间接盈利)。
2、本站所有内容均由合作方或网友上传,本站不对文档的完整性、权威性及其观点立场正确性做任何保证或承诺!文档内容仅供研究参考,付费前请自行鉴别。
3、如文档内容存在违规,或者侵犯商业秘密、侵犯著作权等,请点击“违规举报”。

碎片内容

化工热力学(第三版)陈钟秀课后习题答案

确认删除?
VIP
微信客服
  • 扫码咨询
会员Q群
  • 会员专属群点击这里加入QQ群
客服邮箱
回到顶部