电脑桌面
添加小米粒文库到电脑桌面
安装后可以在桌面快捷访问

北京四中高中数学高考综合复习专题三十八导数及其应用

北京四中高中数学高考综合复习专题三十八导数及其应用_第1页
1/35
北京四中高中数学高考综合复习专题三十八导数及其应用_第2页
2/35
北京四中高中数学高考综合复习专题三十八导数及其应用_第3页
3/35
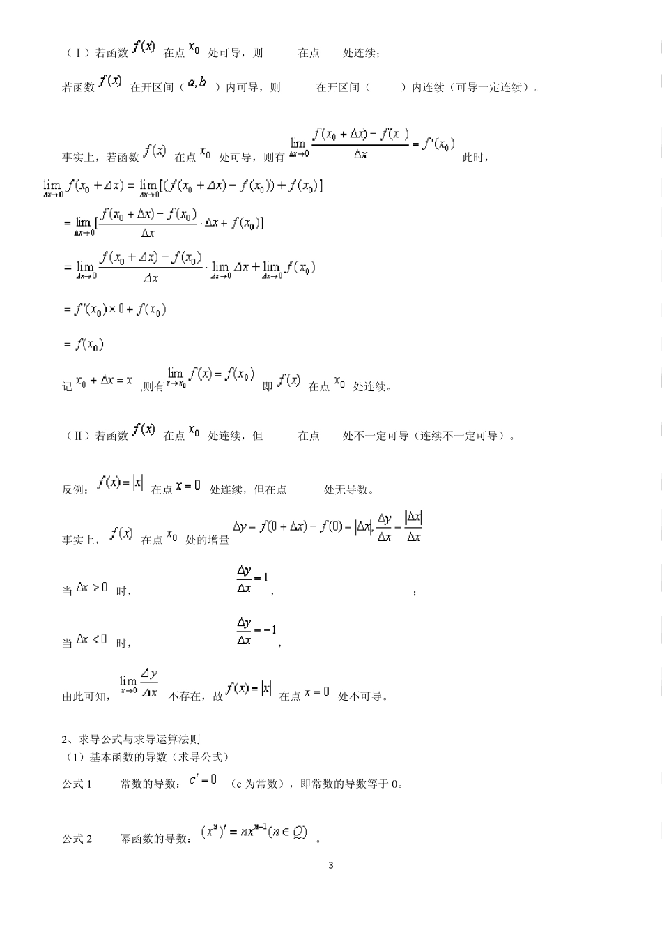
1 高中数学高考综合复习 专题三十八 导数及其应用 一、知识网络 二、高考考点 1 、导数定义的认知与应用; 2 、求导公式与运算法则的运用; 3 、导数的几何意义; 4 、导数在研究函数单调性上的应用; 5 、导数在寻求函数的极值或最值的应用; 6 、导数在解决实际问题中的应用。 三、知识要点 (一)导数 1 、导数的概念 (1 )导数的定义 (Ⅰ)设函数 在点 及其附近有定义,当自变量 x 在 处有增量△x (△x 可正可负),则函数y 相应2 地有增量 ,这两个增量的比 ,叫做函数 在点 到 这间的平均变化率。如果 时, 有极限,则说函数 在点 处可导,并把这个极限叫做 在点 处的导数(或变化率),记作 ,即 。 (Ⅱ)如果函数 在开区间( )内每一点都可导,则说 在开区间( )内可导,此时,对于开区间( )内每一个确定的值 ,都对应着一个确定的导数 ,这样在开区间( )内构成一个新的函数,我们把这个新函数叫做 在开区间( )内的导函数(简称导数),记作 或 , 即 。 认知: (Ⅰ)函数 的导数 是以 x 为自变量的函数,而函数 在点 处的导数 是一个数值; 在点 处的导数 是 的导函数 当 时的函数值。 (Ⅱ)求函数 在点 处的导数的三部曲: ①求函数的增量 ; ②求平均变化率 ; ③求极限 上述三部曲可简记为一差、二比、三极限。 (2 )导数的几何意义: 函数 在点 处的导数 ,是曲线 在点 处的切线的斜率。 (3 )函数的可导与连续的关系 函数的可导与连续既有联系又有区别: 3 (Ⅰ)若函数 在点 处可导,则 在点 处连续; 若函数 在开区间( )内可导,则 在开区间( )内连续(可导一定连续)。 事实上,若函数 在点 处可导,则有 此时, 记 ,则有 即 在点 处连续。 (Ⅱ)若函数 在点 处连续,但 在点 处不一定可导(连续不一定可导)。 反例: 在点 处连续,但在点 处无导数。 事实上, 在点 处的增量 当 时, , ; 当 时, , 由此可知, 不存在,故 在点 处不可导。 2、求导公式与求导运算法则 (1)基本函数的导数(求导公式) 公式 1 常数的导数: (c 为常数),即常数的导数等于 0。 公式 2 幂函数的导数: 。 4 公式3 正弦函数的导数: 。 公式4 余弦函数的导数: 公式5 对数函数的导数: (Ⅰ) ; (Ⅱ) 公式6 指数函数的导数: (Ⅰ) ; ...

1、当您付费下载文档后,您只拥有了使用权限,并不意味着购买了版权,文档只能用于自身使用,不得用于其他商业用途(如 [转卖]进行直接盈利或[编辑后售卖]进行间接盈利)。
2、本站所有内容均由合作方或网友上传,本站不对文档的完整性、权威性及其观点立场正确性做任何保证或承诺!文档内容仅供研究参考,付费前请自行鉴别。
3、如文档内容存在违规,或者侵犯商业秘密、侵犯著作权等,请点击“违规举报”。

碎片内容

北京四中高中数学高考综合复习专题三十八导数及其应用

您可能关注的文档

确认删除?
VIP
微信客服
  • 扫码咨询
会员Q群
  • 会员专属群点击这里加入QQ群
客服邮箱
回到顶部