电脑桌面
添加小米粒文库到电脑桌面
安装后可以在桌面快捷访问

热力学作业第三版陈钟秀

热力学作业第三版陈钟秀_第1页
1/8
热力学作业第三版陈钟秀_第2页
2/8
热力学作业第三版陈钟秀_第3页
3/8
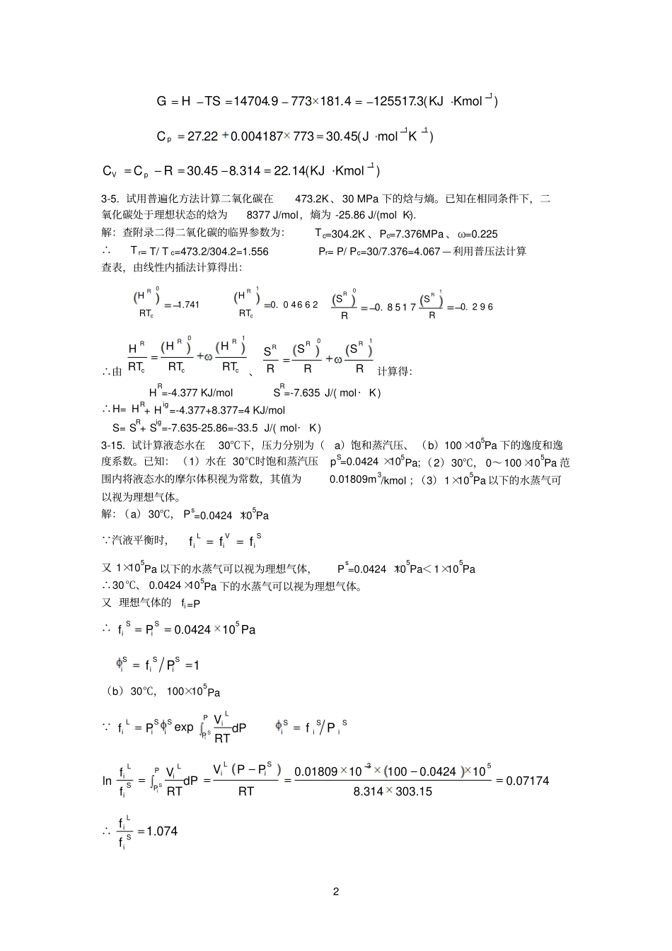
1 3-3 假设氮气服从理想气体定律,试计算1kmol 氮气在温度500℃,压力为10.13MPa 下的内能、焓、熵、Cp、Cv 和自由焓之值。已知:(1)在 0.1013MPa 时氮气的 Cp 与温度的关系为:)(004187.022.2711 KmolJTC p(2)假定在 0℃及 0.1013MPa 时氮气的焓值为零;(3)在 25℃及 0.1013MPa 时氮气的熵值为1176.191KmolJ。解:(1)熵值的计算dpTVdTTCdSpp对于理想气体:dppRdTTCdSpdppRdTTCdSp13.101013.077329877329813.101013.077329801)04187.022.27(dppRdTTTSS1013.013.10ln314.8298773ln22.27)298773(004187.011354.10KmolJ)(4.181354.1076.191354.10110KmolJSS(2)焓值的计算dTCdHp7732730)004187.022.27(dTTHH)273773(21)273773(22.2722)(9.147041molJ)9.14704)(9.147049.14704011KmolKJmolJHH(3)其他热力学性质计算)(178.8278773314.89.147041KmolKJRTHpVHU)(022.1329444.181773178.72781KmolKJTSUA2 )(3.1255174.1817739.147041KmolKJTSHG)(45.30773004187.022.2711KmolJC p)(14.22314.845.301KmolKJRCCpV3-5. 试用普遍化方法计算二氧化碳在473.2K 、30 MPa 下的焓与熵。已知在相同条件下,二氧化碳处于理想状态的焓为8377 J/mol,熵为 -25.86 J/(mol·K). 解:查附录二得二氧化碳的临界参数为:T c=304.2K 、Pc=7.376MPa 、ω=0.225 ∴T r= T/ T c=473.2/304.2=1.556 Pr= P/ Pc=30/7.376=4.067 —利用普压法计算查表,由线性内插法计算得出:01.741RcHRT10. 0 46 6 2RcHRT00. 8 5 1 7RSR10. 2 9 6RSR∴由01RRRcccHHHRTRTRT、01RRRSSSRRR计算得:HR=-4.377 KJ/mol SR=-7.635 J/( mol· K) ∴H= HR+ Hig=-4.377+8.377=4 KJ/mol S= SR+ Sig=-7.635-25.86=-33.5 J/( mol·K) 3-15. 试计算液态水在30℃下,压力分别为(a)饱和蒸汽压、 (b)100×105Pa 下的逸度和逸度系数。已知: (1)水在 30℃时饱和蒸汽压pS=0.0424 ×105Pa;(2)30℃, 0~100×105Pa 范围内将液态水的摩尔体积视为常数,其值为0.01809m3/kmol ;(3)1×105Pa 以下的水蒸气可以视为理想气体。解:(a)30℃, Ps=0.0424 ×105Pa 汽液平衡时,LVSiiifff又 1×105Pa 以下的水蒸气可以视为理想气体,Ps=0.0424 ×105Pa<1×105Pa∴30℃、 0.0424×105Pa 下的水蒸气可以视为理想气体。又 理想气体的fi=P∴50.042410SSiifPPa1SSSiiifP(b)30℃, 100×105Pa expSiLPLSSiiiiPVfPdPR...

1、当您付费下载文档后,您只拥有了使用权限,并不意味着购买了版权,文档只能用于自身使用,不得用于其他商业用途(如 [转卖]进行直接盈利或[编辑后售卖]进行间接盈利)。
2、本站所有内容均由合作方或网友上传,本站不对文档的完整性、权威性及其观点立场正确性做任何保证或承诺!文档内容仅供研究参考,付费前请自行鉴别。
3、如文档内容存在违规,或者侵犯商业秘密、侵犯著作权等,请点击“违规举报”。

碎片内容

热力学作业第三版陈钟秀

爱的疯狂+ 关注
实名认证
内容提供者

该用户很懒,什么也没介绍

确认删除?
VIP
微信客服
  • 扫码咨询
会员Q群
  • 会员专属群点击这里加入QQ群
客服邮箱
回到顶部