电脑桌面
添加小米粒文库到电脑桌面
安装后可以在桌面快捷访问

物理光学和应用光学习题和选解2

物理光学和应用光学习题和选解2_第1页
1/30
物理光学和应用光学习题和选解2_第2页
2/30
物理光学和应用光学习题和选解2_第3页
3/30
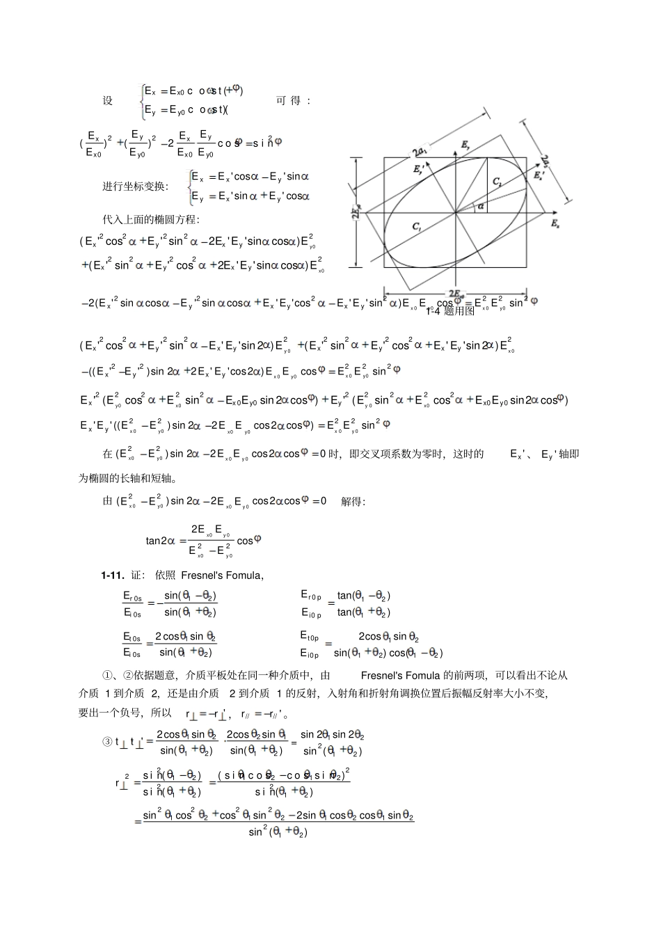
《物理光学与应用光学》习题及选解第一章习题1-1. 一个线偏振光在玻璃中传播时,表示为:iE))65.0(10cos(10152tcz,试求该光的频率、波长,玻璃的折射率。1-2. 已知单色平面光波的频率为zH1014,在z = 0 平面上相位线性增加的情况如图所示。求fx, fy,fz 。1-3. 试确定下列各组光波表示式所代表的偏振态:(1))sin(0kztEEx,)cos(0kztEE y; (2) )cos(0kztEEx,)4cos(0kztEE y; (3) )sin(0kztEEx,)sin(0kztEE y。1-4. 在椭圆偏振光中, 设椭圆的长轴与x 轴的夹角为,椭圆的长、短轴各为2a1、2a2,Ex、Ey 的相位差为。求证:cos22tan220000yxyxEEEE。1-5.已知冕牌玻璃对0.3988 m 波长光的折射率为n = 1.52546,11m1026.1/ ddn,求光在该玻璃中的相速和群速。1-6. 试计算下面两种色散规律的群速度(表示式中的v 表示是相速度) :(1)电离层中的电磁波,222bcv,其中 c 是真空中的光速,是介质中的电磁波波长,b 是常数。(2)充满色散介质()(,)()的直波导管中的电磁波,222/accv p,其中 c 真空中的光速,a 是与波导管截面有关的常数。1-7. 求从折射率n = 1.52 的玻璃平板反射和折射的光的偏振度。入射光是自然光,入射角分别为 0 , 20 , 45 ,0456, 90 。1-8. 若入射光是线偏振的,在全反射的情况下,入射角应为多大方能使在入射面内振动和垂直入射面振动的两反射光间的相位差为极大?这个极大值等于多少?1-9. 电矢量振动方向与入射面成45° 的线偏振光,入射到两种透明介质的分界面上,若入射角501,n1 = 1,n2 = 1.5,则反射光的光矢量与入射面成多大的角度?若601时,该角度又为多1-2 题用图大?1-10. 若要使光经红宝石(n = 1.76)表面反射后成为完全偏振光,入射角应等于多少?求在此入射角的情况下,折射光的偏振度Pt 。1-11. 如图所示,光线穿过平行平板,由n1进入 n2 的界面振幅反射系数为r,透射系数为t,下表面的振幅反射系数为r',透射系数为t'。试证明:相应于平行和垂直于图面振动的光分量有:①'rr,②'////rr,③1'2rtt,④1'////2//ttr,⑤'1//// rr'////tt。1-12. 一束自然光从空气垂直入射到玻璃表面,试计算玻璃表面的反射率R0 = ?此反射率R0 与反射光波长是否有关?为什么?若光束以45° 角入射,其反射率R45 = ?由此说明反射率与哪些因素有关(设玻璃折射率为1.52)?1-13. 如图所示,当光从空气斜入射到平行平面玻璃片上时,从上、下表面反射...

1、当您付费下载文档后,您只拥有了使用权限,并不意味着购买了版权,文档只能用于自身使用,不得用于其他商业用途(如 [转卖]进行直接盈利或[编辑后售卖]进行间接盈利)。
2、本站所有内容均由合作方或网友上传,本站不对文档的完整性、权威性及其观点立场正确性做任何保证或承诺!文档内容仅供研究参考,付费前请自行鉴别。
3、如文档内容存在违规,或者侵犯商业秘密、侵犯著作权等,请点击“违规举报”。

碎片内容

物理光学和应用光学习题和选解2

您可能关注的文档

爱的疯狂+ 关注
实名认证
内容提供者

该用户很懒,什么也没介绍

确认删除?
VIP
微信客服
  • 扫码咨询
会员Q群
  • 会员专属群点击这里加入QQ群
客服邮箱
回到顶部