电脑桌面
添加小米粒文库到电脑桌面
安装后可以在桌面快捷访问

理论力学课后题答案

理论力学课后题答案_第1页
1/10
理论力学课后题答案_第2页
2/10
理论力学课后题答案_第3页
3/10
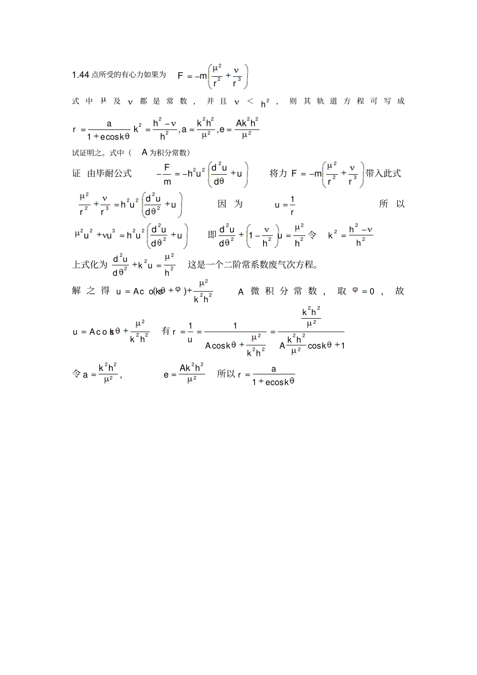
1.1 沿水平方向前进的枪弹, 通过某一距离s 的时间为 t1 ,而通过下一等距离s的时间为2t.试证明枪弹的减速度(假定是常数)为由题可知示意图如题1.1.1 图: SS2t1t题 1.1.1图设开始计时的时刻速度为0v , 由题可知枪弹作匀减速运动设减速度大小为a. 则有:221210211021221ttattvsattvs由以上两式得11021 attsv再由此式得2121122ttttttsa1.26一弹性绳上端固定,下端悬有m 及 m 两质点。设 a 为绳的固有长度,b 为加 m 后的伸长, c 为加 m 后的伸长。 今将 m 任其脱离而下坠,试证质点 m 在任一瞬时离上端 O 的距离为解 以绳顶端为坐标原点 . 建立如题 1.26.1 图所示坐标系 . 题 1.26.1 图设绳的弹性系数为 k , 则有kbmg①当 m 脱离下坠前,m 与 m 系统平衡 . 当 m 脱离下坠前, m在拉力 T 作用下上升,之后作简运 . 运动微分方程为ymaykmg②联立①②得bbagybgy③0ybgy齐次方程通解tbgAtbgAYsincos211非齐次方程③的特解baY0所以③的通解batbgAtbgAYsincos211代入初始条件:0t时,,cbay得0,21AcA;故有batbgcycos即为 m在任一时刻离上端 O 的距离 . OmmT1.39 一质点受一与距离23 次方成反比的引力作用在一直线上运动。试证此质点自无穷远到达 a 时的速率和自a 静止出发到达4a 时的速率相同。证 质点受一与距离23 次方成反比的力的作用。设此力为为一常数kkrrF23①又因为drvdvmddtdrdrdvmdtdvmrF即m v d vdrrFm v d vdrkr23②当质点从无穷远处到达 a 时,对②式两边分别积分:vav d vmdrkr0232124 amkv当质点从 a 静止出发到达4a 时,对②式两边分别积分:vaadvmdrkr0423得2124 amkv所以质点自无穷远到达a 时的速率和自a 静止出发到达4a 时的速率相同。1.43 如质点受有心力作用而作双纽线...证 由毕耐公式ududuhmF222质点所受有心力做双纽线2cos22ar运动 故2cos11aru232c o s12s i n1addu2sin22cos2sin232cos2cos21252322adud252212cos2sin32cos21a故ududumhF22222cos12cos2sin32cos22cos12522132amh2tan12cos322332amh27322cos3amh2722323aramh7243rhma1.44 点所受的有心力如果为322rrmF式 中及都 是 常 数 , 并 且<2h, 则其 轨 道 方 程 可 写 成kearcos1222222222,,hAkehkahhk试证明之。式中(A 为积分常数)证 由毕耐公式ududuhmF222将力322rrmF带入此式ududuhrr2222322因为ru1所以ududuhuu2222322即222221huhdud令222hhk上...

1、当您付费下载文档后,您只拥有了使用权限,并不意味着购买了版权,文档只能用于自身使用,不得用于其他商业用途(如 [转卖]进行直接盈利或[编辑后售卖]进行间接盈利)。
2、本站所有内容均由合作方或网友上传,本站不对文档的完整性、权威性及其观点立场正确性做任何保证或承诺!文档内容仅供研究参考,付费前请自行鉴别。
3、如文档内容存在违规,或者侵犯商业秘密、侵犯著作权等,请点击“违规举报”。

碎片内容

理论力学课后题答案

您可能关注的文档

确认删除?
VIP
微信客服
  • 扫码咨询
会员Q群
  • 会员专属群点击这里加入QQ群
客服邮箱
回到顶部