电脑桌面
添加小米粒文库到电脑桌面
安装后可以在桌面快捷访问

弹簧刚度计算

弹簧刚度计算_第1页
1/8
弹簧刚度计算_第2页
2/8
弹簧刚度计算_第3页
3/8
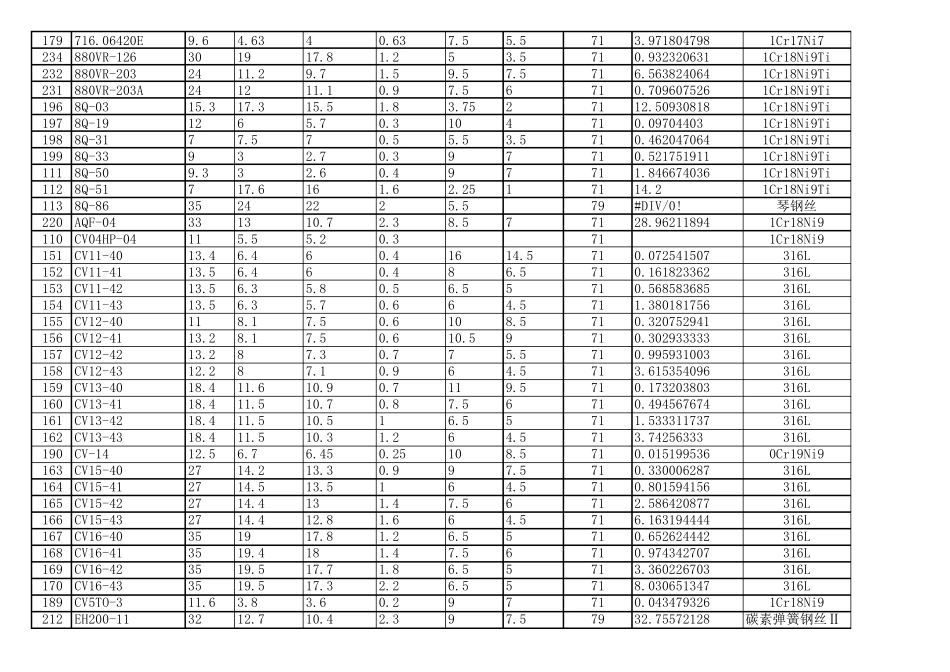
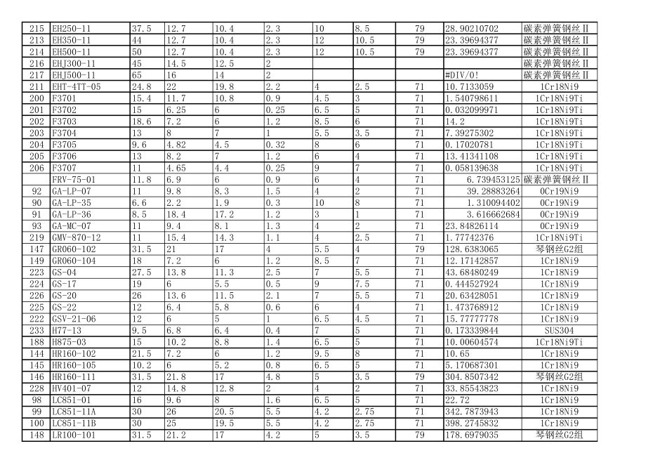
序 号代 号长度(L)弹簧外径(A) 弹簧中径(D)弹簧丝径(d) 总圈数(N)有效圈数(n)切变模量(G) 刚度(K)材 料192163.05790219.281.26.55717.188751Cr18Ni9Ti180163.05800E137.56.516.14.1717.8821452761Cr18Ni9218180-V-0516.719.517.524.52.57110.598250731Cr18Ni99624-CVWB-0411.55.44.950.459.57.5710.4000751310Cr19Ni910124-CVWB-0411.55.44.950.459.57.5710.4000751310Cr19Ni920827-EHT200-05B6615.112.82.379#DIV/0! 琴钢丝20927-EHT300-05B5815.112.82.379#DIV/0! 琴钢丝21027-GCR-600-03662723.53.51087914.27301453琴钢丝242281MA-01161210.81.24.53714.8696844991Cr18Ni9Ti241281MA-0635.51614.41.67.56713.2464563331Cr18Ni9Ti255281MA-06A29.617.2152.25.547115.400162961Cr18Ni9Ti256281MA-06B1515.213.61.64.753.25717.114562621Cr18Ni9243281MA-118.532.50.575717.11Cr18Ni9Ti248286MB-0162821.318.82.55.547113.043521471Cr18Ni9Ti247286MB-023114.33.60.76.55719.1344628771Cr18Ni9Ti249286MB-0710.55.85.20.65.54712.0450472231Cr18Ni9Ti246286MB-15.316.56.25.60.675711.3099034261Cr18Ni9Ti254287M-60L-252517152647110.518518521Cr18Ni9Ti1853362-0107127.56.515.537110.77226521SUS3042533816E-O-10247.870.886711.7663751211Cr18Ni9Ti2443816E-V-12297.870.886711.7663751211Cr18Ni9Ti2453816E-V-195027.2261.26.55710.2094128361Cr18Ni9Ti2353911U-A-10205.550.51210710.443751Cr18Ni9Ti2363911U-A-111412.9120.942711.6848632811Cr18Ni9Ti2403913U-A-051954.60.497710.3334546611Cr18Ni9Ti2373914U-A-05103.22.90.386710.4912563041Cr18Ni9Ti2383914U-A-09103.853.20.657.56718.0578764281Cr18Ni9Ti2393914U-A-15153533.91.11.50.5710.667067841Cr18Ni9Ti2293993X-0542.61514197710.4620470641Cr18Ni92303998X-0925.95.55.10.410.58.5710.2015017741Cr18Ni92504811B-A-201410.9100.94.52.5712.3291551Cr18Ni9Ti2514811B-A-212032.6311.63.752.25710.8677221681Cr18Ni9Ti2524811B-V-2015.810.39.314.52.5714.4134631761Cr18Ni9Ti捷锐企业(上海)有限公司弹簧规格一览表179716.06420E9.64.6340.637.55.5713.9718047981Cr17Ni7234880VR-126301917.81.253.5710.9323206311Cr18Ni9Ti232880VR-2032411.29.71.59.57.5716.5638240641Cr18Ni9Ti231880VR-203A241211.10.97.56710.7096075261Cr18Ni9Ti1968Q-0315.317.315.51.83.752...

1、当您付费下载文档后,您只拥有了使用权限,并不意味着购买了版权,文档只能用于自身使用,不得用于其他商业用途(如 [转卖]进行直接盈利或[编辑后售卖]进行间接盈利)。
2、本站所有内容均由合作方或网友上传,本站不对文档的完整性、权威性及其观点立场正确性做任何保证或承诺!文档内容仅供研究参考,付费前请自行鉴别。
3、如文档内容存在违规,或者侵犯商业秘密、侵犯著作权等,请点击“违规举报”。

碎片内容

弹簧刚度计算

小辰3+ 关注
实名认证
内容提供者

出售各种资料和文档

相关文档

确认删除?
VIP
微信客服
  • 扫码咨询
会员Q群
  • 会员专属群点击这里加入QQ群
客服邮箱
回到顶部