电脑桌面
添加小米粒文库到电脑桌面
安装后可以在桌面快捷访问

数值分析试题及答案.

数值分析试题及答案._第1页
1/19
数值分析试题及答案._第2页
2/19
数值分析试题及答案._第3页
3/19
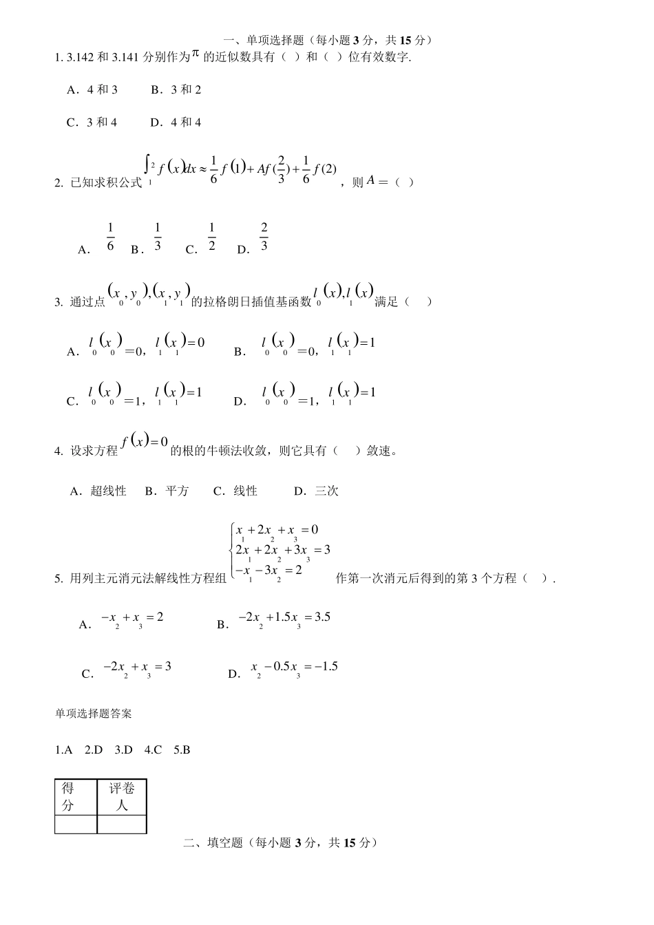
一、单项选择题(每小题 3 分,共 15 分) 1. 3.142 和 3.141 分别作为 的近似数具有( )和( )位有效数字. A.4 和 3 B.3 和 2 C.3 和 4 D.4 和 4 2. 已知求积公式  211211( )(2)636f x dxfAff,则 A =( ) A. 16 B.13 C.12 D.23 3. 通过点 0011,,,xyxy的拉格朗日插值基函数    01,lxlx 满足( ) A.  00lx=0,  110lx B.  00lx=0,  111lx C.  00lx=1,  111lx D.  00lx=1,  111lx 4. 设求方程  0f x 的根的牛顿法收敛,则它具有( )敛速。 A.超线性 B.平方 C.线性 D.三次 5. 用列主元消元法解线性方程组1231231220223332xxxxxxxx 作第一次消元后得到的第 3 个方程( ). A.232xx B.2321.53.5xx C.2323xx D.230.51.5xx  单项选择题答案 1.A 2.D 3.D 4.C 5.B 得 分 评卷人 二、填空题(每小题 3 分,共 15 分) 1. 设TX)4,3,2(, 则1||||X ,2||||X . 2. 一阶均差01,f x x  3. 已知3n 时,科茨系数   33301213,88CCC,那么 33C 4. 因为方程 420xf xx 在区间 1,2 上满足 ,所以 0f x 在区间内有根。 5. 取步长0.1h ,用欧拉法解初值问题 211yyyxy  的计算公式 . 填空题答案 1. 9 和29 2.   0101fxfxxx 3. 18 4.    120ff 5. 1200.11.1,0,1,21 0.11kkyykky 得 分 评卷人 三、计算题(每题1 5 分,共 6 0 分) 1. 已知函数211yx 的一组数据: 求分段线性插值函数,并计算1.5f的近似值. 计算题1 .答案 1. 解 0,1x,  1010.51 0.50 11 0xxL xx   1,2x, 210.50.20.30.81 22 1xxL xx  所以分段线性插值函数为  10 .50 ,10 .80 .31 ,2x xL xx x   1 .50 .80 .31 .50 .3 5L 2 . 已知线性方程组1231231231 027 .21 028 .354 .2xxxxxxxxx...

1、当您付费下载文档后,您只拥有了使用权限,并不意味着购买了版权,文档只能用于自身使用,不得用于其他商业用途(如 [转卖]进行直接盈利或[编辑后售卖]进行间接盈利)。
2、本站所有内容均由合作方或网友上传,本站不对文档的完整性、权威性及其观点立场正确性做任何保证或承诺!文档内容仅供研究参考,付费前请自行鉴别。
3、如文档内容存在违规,或者侵犯商业秘密、侵犯著作权等,请点击“违规举报”。

碎片内容

数值分析试题及答案.

小辰+ 关注
实名认证
内容提供者

出售各种文档和资料

确认删除?
VIP
微信客服
  • 扫码咨询
会员Q群
  • 会员专属群点击这里加入QQ群
客服邮箱
回到顶部