电脑桌面
添加小米粒文库到电脑桌面
安装后可以在桌面快捷访问

数字信号处理课后习题答案(吴镇扬)VIP专享

数字信号处理课后习题答案(吴镇扬)_第1页
1/8
数字信号处理课后习题答案(吴镇扬)_第2页
2/8
数字信号处理课后习题答案(吴镇扬)_第3页
3/8
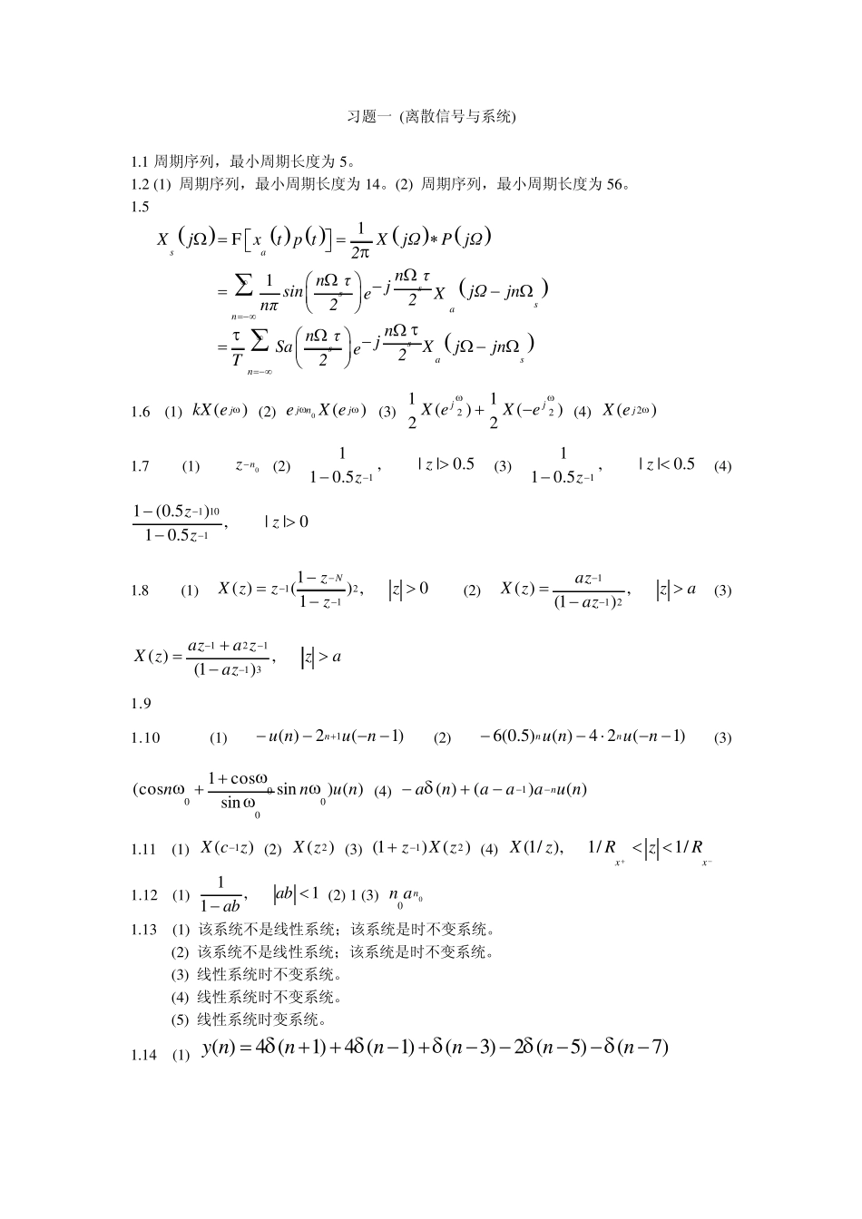
习题一 (离散信号与系统) 1.1 周期序列,最小周期长度为5。 1.2 (1) 周期序列,最小周期长度为14。(2) 周期序列,最小周期长度为56。 1.5    11sasssanssasnXjxt p tXjΩP jΩ2nτnτjsinjΩjneX2nπ2nnτjSaXjjne2T2    F 1.6 (1) )(jekX (2) )(0jnjeXe (3) )(21)(2122jjeXeX (4) )(2jeX 1.7 (1) 0nz(2) 5.0||,5.0111zz (3) 5.0||,5.0111zz (4) 0||,5.01)5.0(11101zzz 1.8 (1) 0,)11()(211zzzzzXN (2) azazazzX,)1()(211 (3) azazzaazzX,)1()(31121 1.9 1.10 (1) )1(2)(1nunun (2) )1(24)()5.0(6nununn (3) )()sinsincos1(cos0000nunn (4) )()()(1nuaaanan  1.11 (1) )(1zcX (2) )(2zX (3) )()1(21zXz (4) xxRzRzX/1/1),/1( 1.12 (1) 1,11abab (2) 1 (3) 00nan 1.13 (1) 该系统不是线性系统;该系统是时不变系统。 (2) 该系统不是线性系统;该系统是时不变系统。 (3) 线性系统时不变系统。 (4) 线性系统时不变系统。 (5) 线性系统时变系统。 1.14 (1) )7()5(2)3()1(4)1(4)(nnnnnny (2) 5)5.02(5.0405.02)(44nnnynn (3) )5(8)4(4)3(6)2(3)1(2)()(nnnnnnny 1.16 (1) 因果、稳定。 (2) n0<0 时系统非因果,不稳定。 (3) 当n0>0 时,该系统是因果系统,当n0<0 时,该系统是非因果系统;系统稳定。 (4)因果、稳定。 (5)因果、稳定。(6)因果、稳定。(7)因果、不稳定。(8)非因果、稳定。 1.17 (1) y(n)=1, n=0 y(n)=4*3-n , n≥1 (2) )(])31(2123[)(nunyn (3) )5(])31(1[23)(])31(2123[)(5nununynn 1.18 y(n)=1, n=0 y(n)=3*2-n , n≥1 1.19 (1) )(])([1)(11nubabanfnn  (2) )2()(2nuanfn (3) 1.22 (3) aeHj1)( 习题二 (离散傅里叶变换及其快速算法) 2.1 1,1,00)12()()2(212NkkXkXkX 2.6 (1) 1 (2) knNW0 (3) kNNaWa11 (4) 02)1(01)(kNN...

1、当您付费下载文档后,您只拥有了使用权限,并不意味着购买了版权,文档只能用于自身使用,不得用于其他商业用途(如 [转卖]进行直接盈利或[编辑后售卖]进行间接盈利)。
2、本站所有内容均由合作方或网友上传,本站不对文档的完整性、权威性及其观点立场正确性做任何保证或承诺!文档内容仅供研究参考,付费前请自行鉴别。
3、如文档内容存在违规,或者侵犯商业秘密、侵犯著作权等,请点击“违规举报”。

碎片内容

数字信号处理课后习题答案(吴镇扬)

确认删除?
VIP
微信客服
  • 扫码咨询
会员Q群
  • 会员专属群点击这里加入QQ群
客服邮箱
回到顶部