电脑桌面
添加小米粒文库到电脑桌面
安装后可以在桌面快捷访问

通信网络基础课后习题答案VIP专享

通信网络基础课后习题答案_第1页
1/15
通信网络基础课后习题答案_第2页
2/15
通信网络基础课后习题答案_第3页
3/15
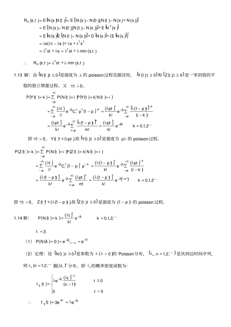
11.3 答:分组交换网中,将消息分成许多较短的,格式化的分组进行传输和交换,每一个分组由若干比特组成一个比特串, 每个分组都包括一个附加的分组头,分组头指明该分组的目的节点及其它网络控制信息。每个网络节点采用存储转发的方式来实现分组的交换。1.4 答:虚电路是分组传输中两种基本的选择路由的方式之一。在一个会话过程开始时,确定一条源节点到目的节点的逻辑通路, 在实际分组传输时才占用物理链路, 无分组传输时不占用物理链路,此时物理链路可用于其它用户分组的传输。会话过程中的所有分组都沿此逻辑通道进行。而传统电话交换网 PSTN中物理链路始终存在,无论有无数据传输。1.7 答:OSI 模型七个层次为:应用层,表示层,会话层,运输层,网络层,数据链路层,物理层。TCP/IP 五个相对独立的层次为:应用层,运输层,互联网层,网络接入层,物理层。它们的对应关系如下:OSI 模型TCP/IP 参考模型1.10 解:YttX2cos2YYXc o s22c o s21X(1) 02P 1/2 1/2 10212211XEYXtXcos201YYXtXcos22cos21222102114cos4cos2cos21022221YEYYEXXEtXtXE1.11 解:0cos2cosdtwAdftwAtXEtmccX应用层表示层会话层运输层网络层数据链路层物理层应用层运输层互连网层网络接入层硬件ccccccXwAdwwtwAdftwAtwAtXtXEttRc o s221c o s22c o s21c o sc o s,2220)(22ARtXEX显然,tX的均值为常数,相关函数仅与时差有关,且为二阶矩过程,所以该随机过程是广义平稳的。0s i nc o s..c o sc o s2..s i ns i nc o sc o s2..c o s21..TwTwAmilt d twTAmildttwtwTAmildttwATmiltXccTTTcTTTccTTTcTcTTcccTTTccTwAdtwwtwTAmildttwtwTAmiltXtXcos21cos22cos4..coscos2..222故tX的均值和相关函数都具有各态历经性,tX是各态历经过程。1.12 解:定义:称计数过程0,ttN是参数为0 的 Poisson过程,如果:(1)00N;(2)0,ttN是平稳的独立增量过程;(3)tNt,0服从参数为t 的 Poisson分布,,2,1,0!kektktNPtk0!1!!1110tteetktetektkektktNEttkktktkktk22tNEtNEtNDtD NttteettktettektkktNEtNtNEtNtNtNEtNEttkktktk2222202!2!111tttttD N22不妨设ts,则tsstsstssstssNEsNDsNtNEsNEsNEsNtNNsNEsNsNtNNsNEtNsNEtsRN,min00,222222,min,2tssttsRN1.13 解:由0,ttN是强度为的 poisson过程及题设知,0,ttY和0,ttZ是一零初值的平稳的独立增量过程。又0t,2,1,0!!1!!1!1!00kekptmtpekptkitpekptppCeititNktYPitNPktYPptkmm...

1、当您付费下载文档后,您只拥有了使用权限,并不意味着购买了版权,文档只能用于自身使用,不得用于其他商业用途(如 [转卖]进行直接盈利或[编辑后售卖]进行间接盈利)。
2、本站所有内容均由合作方或网友上传,本站不对文档的完整性、权威性及其观点立场正确性做任何保证或承诺!文档内容仅供研究参考,付费前请自行鉴别。
3、如文档内容存在违规,或者侵犯商业秘密、侵犯著作权等,请点击“违规举报”。

碎片内容

通信网络基础课后习题答案

确认删除?
VIP
微信客服
  • 扫码咨询
会员Q群
  • 会员专属群点击这里加入QQ群
客服邮箱
回到顶部