电脑桌面
添加小米粒文库到电脑桌面
安装后可以在桌面快捷访问

二元一次方程组精选内附答案

二元一次方程组精选内附答案_第1页
1/12
二元一次方程组精选内附答案_第2页
2/12
二元一次方程组精选内附答案_第3页
3/12
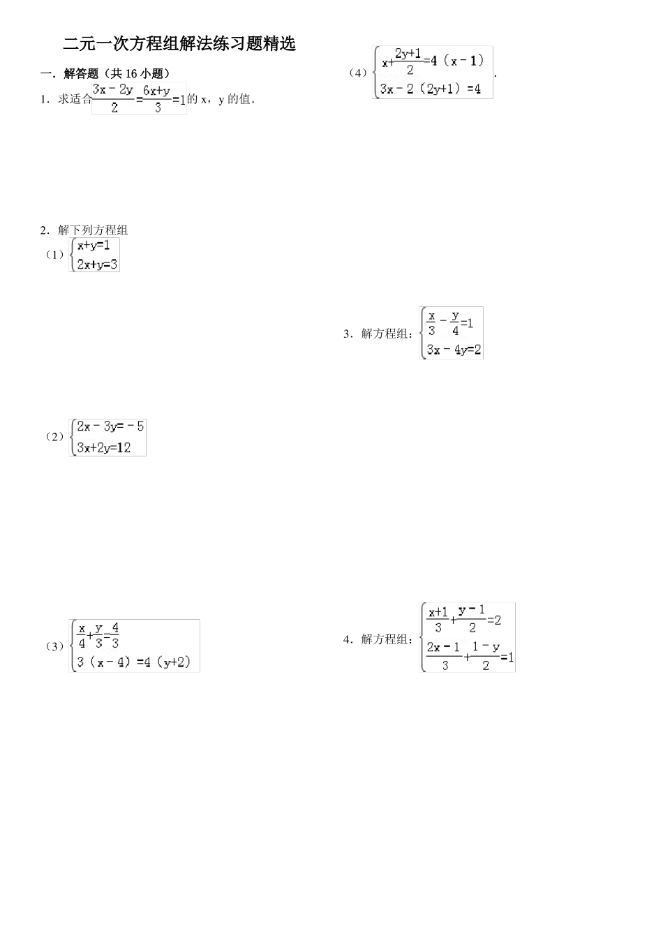
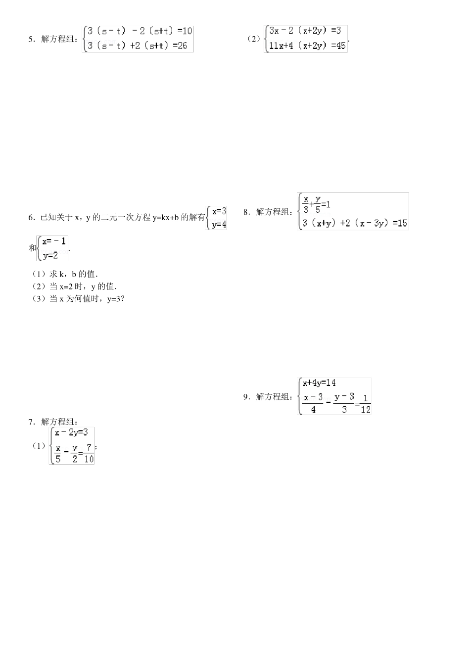
二元一次方程组解法练习题精选一.解答题(共 16 小题)1.求适合的 x,y 的值.2.解下列方程组(1)(2)(3)(4).3.解方程组:4.解方程组:5.解方程组:6.已知关于 x,y 的二元一次方程 y=kx+b 的解有和.(1)求 k,b 的值.(2)当 x=2 时,y 的值.(3)当 x 为何值时,y=3?7.解方程组:(1);(2).8.解方程组:9.解方程组:10.解下列方程组:(1)(2)11.解方程组:(1)(2)12.解二元一次方程组:(1);(2).13.在解方程组时,由于粗心,甲看错了方程组中的 a,而得解为,乙看错了方程组中的 b,而得解为.(1)甲把 a 看成了什么,乙把 b 看成了什么?(2)求出原方程组的正确解.14.15.解下列方程组:(1)(2).16.解下列方程组:(1)(2)参考答案一、1,B;2,B;3,C;4,D;5,B;6,C;7,B;二元一次方程组解法练习题精选(含答案)参考答案与试题解析一.解答题(共 16 小题)1.求适合的 x,y 的值.考解二元一次方程组.8,C;9,C;10,D.二、11,ax2+bx+c、≠0、常数;12,x=1;13,y=2x2+1;14,答案不唯一.如:y=x2+2x; 15,C>4 的任何整数数;16, 112 ;17,二;18,x=3、1<x<5.三、19, 43 ;20,(1)设这个抛物线的解析式为y  ax2  bx  c 由已知,抛物线过 A(2,0) ,B(1,0),4a  2b  c  0C(2,8)三点,得a  b  c  0解这个方程组,得4a  2b  c  8a  2,b  2,c  4 ∴ 所求抛物线的解析式为 y=2x2+2x-4.(2)y=2x2+2x-4=2(x2+x-2)=2(x+ 12 )2-92 ;∴ 该抛物线的顶点坐标为( 192 , 2) .21,(1)y=-x2+4x=-(x2-4x+4-4)=-(x-2)2+4,所以对称轴为:x=2,顶点坐标:(2,4).(2)y=0,-x2+4x=0,即x(x-4)=0,所以x1=0,x2=4,所以图象与 x 轴的交点坐标为:(0,0)与(4,0).22,(1)因为 AD=EF=BC=xm,所以 AB=18-3x.所以水池的总容积为 1.5x(18-3x)=36,即 x2-6x+8=0,解得 x1=2,x2=4,所以 x 应为 2 或 4.(2)由(1)可知 V 与 x 的函数关系式为 V =1.5x(18 -3x) =-4.5x2+27x,且 x 的取值范围是: 0<x<6.(3)V=-4.5x2+27x=- 92 (x-3)2+ 812 .所以当 x=3 时,V 有最大值 812 .即若使水池有总容积最大,x 应为 3,最大容积为40.5m3.23,答 案:①由题意 ...

1、当您付费下载文档后,您只拥有了使用权限,并不意味着购买了版权,文档只能用于自身使用,不得用于其他商业用途(如 [转卖]进行直接盈利或[编辑后售卖]进行间接盈利)。
2、本站所有内容均由合作方或网友上传,本站不对文档的完整性、权威性及其观点立场正确性做任何保证或承诺!文档内容仅供研究参考,付费前请自行鉴别。
3、如文档内容存在违规,或者侵犯商业秘密、侵犯著作权等,请点击“违规举报”。

碎片内容

二元一次方程组精选内附答案

您可能关注的文档

确认删除?
VIP
微信客服
  • 扫码咨询
会员Q群
  • 会员专属群点击这里加入QQ群
客服邮箱
回到顶部