电脑桌面
添加小米粒文库到电脑桌面
安装后可以在桌面快捷访问

焚烧炉设计作业

焚烧炉设计作业_第1页
1/10
焚烧炉设计作业_第2页
2/10
焚烧炉设计作业_第3页
3/10
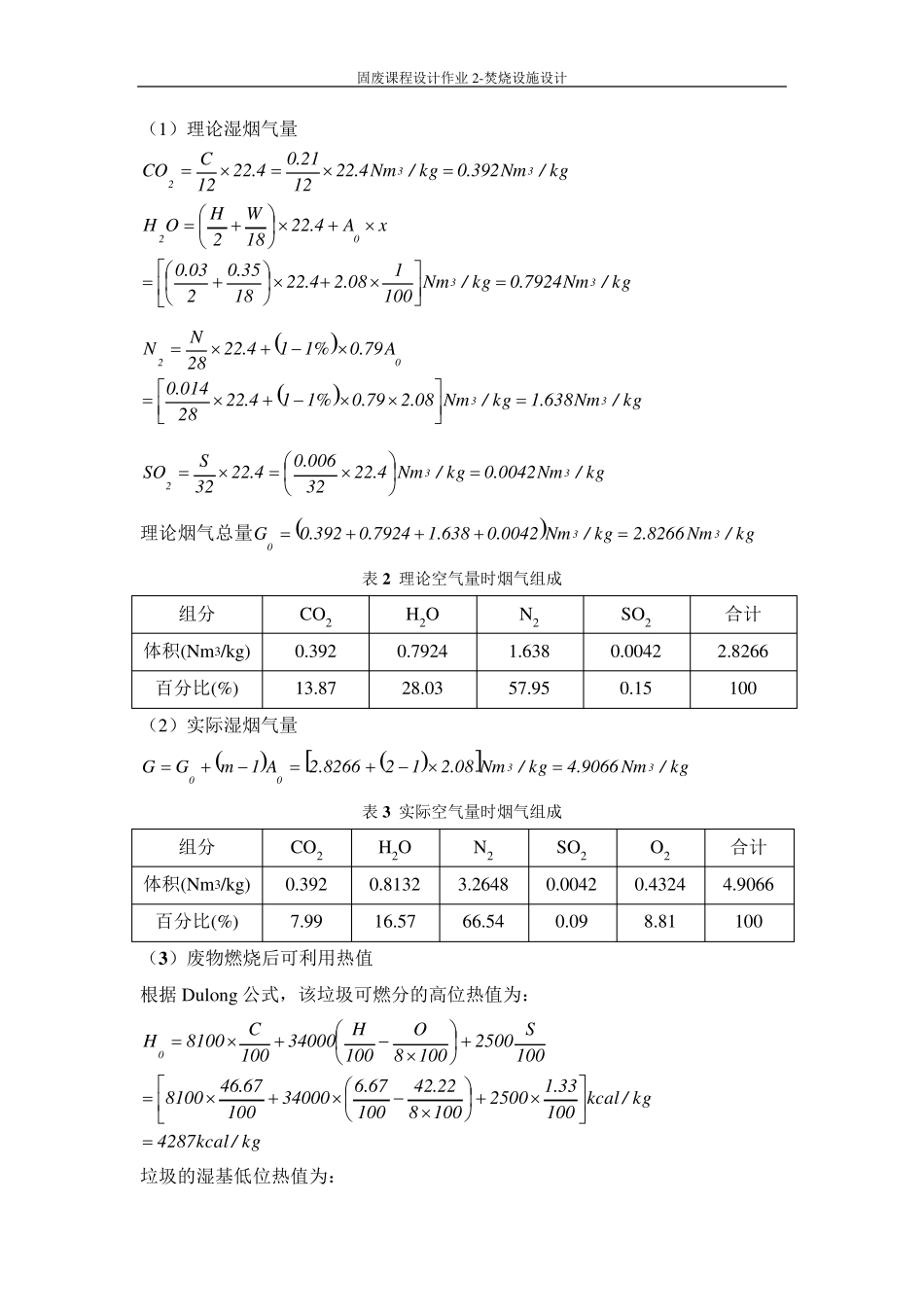
固废课程设计作业2-焚烧设施设计 焚烧炉设计作业 学号:1 0 2 7 1 0 1 2 姓名:马涛 习题1 : 某生活垃圾焚烧厂单炉处理能力8t/h,①垃圾含可燃物45%(碳 21%、氢3%,氧19%、氮1.4%、硫0.6%),水分35%、灰分20%;②炉栅残渣含碳量5%;③进人炉膛的废物温度为65℃,离开炉栅残渣的温度为650℃;④残渣的比热为0.323kJ/(kg·℃);⑤水的汽化潜热 2420kJ/kg;⑥辐射损失为总炉膛输入热量的0.5%;⑦碳的热值为 32564kJ/ kg ,计算: (1)理论空气量、实际空气量(m=2,空气湿度1%) (2)理论烟气量、实际烟气量 (3)废物燃烧后可利用的热量 (4)烟气温度,要求烟气温度达到 850℃,求助燃空气温度 (5)烟气急冷要求从 500℃降至 180℃,水冷或空冷的冷媒用量 (6)采用中温中压余热锅炉,估算发电量 解: (1 )理论空气量、实际空气量 表 1 垃圾的湿基组成及可燃分元素组成 水分(wt%) 灰分(wt%) 可燃分(wt%) C H O N S 合计 35 20 21 3 19 1.4 0.6 45 可燃分元素组成(%) 46.67 6.67 42.22 3.11 1.33 100 空气湿度1%,垃圾完全氧化所需的理论空气量(含水蒸气)为:  kg/Nm08.2kg/Nm%11/006.033.319.033.303.067.2621.089.8%11/21.04.2232S21.04.2232O21.04.224H21.04.2212CA330 空气比 m=2,实际空气量(含水蒸气)为: kg/Nm16.4kg/Nm08.22m AA330 (2 )理论烟气量、实际烟气量 固废课程设计作业 2-焚烧设施设计 (1)理论湿烟气量 kg/Nm392.0kg/mN4.221221.04.2212CCO332 kg/Nm7924.0kg/mN100108.24.221835.0203.0xA4.2218W2HOH3302kg/Nm638.1kg/Nm08.279.0%114.2228014.0A79.0%114.2228NN3302 kg/Nm0042.0kg/Nm4.2232006.04.2232SSO332 理论烟气总量kg/Nm8266.2kg/Nm0042.0638.17924.0392.0G330 表 2 理论空气量时烟气组成 组分 CO2 H2O N2 SO2 合计 体积(Nm3/kg) 0.392 0.7924 1.638 0.0042 2.8266 百分比(%) 13.87 28.03 57.95 0.15 100 (2)实际湿烟气量 kg/Nm9066.4kg/Nm08.2128266.2A1mGG3300 表 3 实际空气量时烟气组成 组分 CO2 H2O N2 SO2 O2 ...

1、当您付费下载文档后,您只拥有了使用权限,并不意味着购买了版权,文档只能用于自身使用,不得用于其他商业用途(如 [转卖]进行直接盈利或[编辑后售卖]进行间接盈利)。
2、本站所有内容均由合作方或网友上传,本站不对文档的完整性、权威性及其观点立场正确性做任何保证或承诺!文档内容仅供研究参考,付费前请自行鉴别。
3、如文档内容存在违规,或者侵犯商业秘密、侵犯著作权等,请点击“违规举报”。

碎片内容

焚烧炉设计作业

您可能关注的文档

确认删除?
VIP
微信客服
  • 扫码咨询
会员Q群
  • 会员专属群点击这里加入QQ群
客服邮箱
回到顶部