电脑桌面
添加小米粒文库到电脑桌面
安装后可以在桌面快捷访问

函数与极限测试题卷与答案二

函数与极限测试题卷与答案二_第1页
1/9
函数与极限测试题卷与答案二_第2页
2/9
函数与极限测试题卷与答案二_第3页
3/9
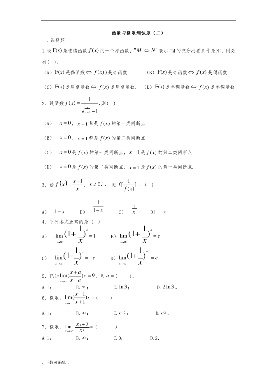
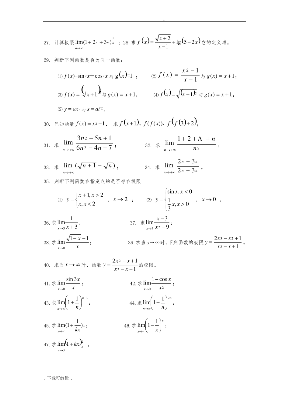
..函数与极限测试题(二)一. 选择题1.设F(x) 是连续函数 f (x) 的一个原函数,"M  N" 表示“M 的充分必要条件是 N”,则必有( ).(A)F(x) 是偶函数 f (x) )是奇函数.(B)F(x) 是奇函数 f (x) 是偶函数.(C)F(x) 是周期函数 f (x) 是周期函数.(D)F(x) 是单调函数 f (x) 是单调函数2.设函数 f (x) 1exx1, 则( )1(A)x  0 , x  1 都是 f (x) 的第一类间断点.(B)x  0 , x  1 都是 f (x) 的第二类间断点(C)x  0 是 f (x) 的第一类间断点, x 1 是 f (x) 的第二类间断点.(D)x  0 是 f (x) 的第二类间断点, x  1 是 f (x) 的第一类间断点.3.设 f x1x 1]  ( ), x  0、 ,则 f [1,f (x)x1X1A)1 x B)1 x4.下列各式正确的是 ( )x C) D)xx11B) lim1 e(1+)(1+)xx11C)lim(1 )  e D)lim(1 ) exxA)limx0x0xxxxx  ax)  9 ,则 a  ( )。x x  aA.1; B. ; C.ln3; D.2ln3 。x 1x)  ( )6.极限:lim(x x 15.已知lim(A.1; B. ; C.e; D.e 。22x3 2 =()xx3A.1; B. ; C.0; D.2.7.极限: lim. 下载可编辑 ...8.极限: limx0x 1 1 =()x2A.0; B. ; C1 ; D.2.9.极限:xlim ( x 2  x  x) =()A.0; B. ; C.2; D.1 .210.极限: limx0tan x  sin x =()sin3 2x16A.0; B. ; C.1 ; D.16.二. 填空题11.极限lim xsinx2x=; 12. limarctanx =;2x 1x0x13. 若 y  f (x) 在点 x0连续,则 lim[ f (x)  f (x)]=;xx14. lim sin5x2; 15. lim(1)n ;x0nxnx 2 116. 若函数 y 2,则它的间断点是x  3x  2 x,x  0;17. 绝对值函数f (x)  x  x0,x  0; x, x  0.其定义域是,值域是。 1, x  0;18.符号函数 f (x)  sgn x   0, x  0; 其定义域是,值域是三个点的集合。1,x  0.19 无穷小量是。20. 函数 y f(x)在点 x0 连续,要求函数 y f(x)满足的三个条件是。三. 计算题21.求lim(x01 x1). ; 22.设 f (ex1) ...

1、当您付费下载文档后,您只拥有了使用权限,并不意味着购买了版权,文档只能用于自身使用,不得用于其他商业用途(如 [转卖]进行直接盈利或[编辑后售卖]进行间接盈利)。
2、本站所有内容均由合作方或网友上传,本站不对文档的完整性、权威性及其观点立场正确性做任何保证或承诺!文档内容仅供研究参考,付费前请自行鉴别。
3、如文档内容存在违规,或者侵犯商业秘密、侵犯著作权等,请点击“违规举报”。

碎片内容

函数与极限测试题卷与答案二

您可能关注的文档

确认删除?
VIP
微信客服
  • 扫码咨询
会员Q群
  • 会员专属群点击这里加入QQ群
客服邮箱
回到顶部