电脑桌面
添加小米粒文库到电脑桌面
安装后可以在桌面快捷访问

现代设计理论与方法第3章习题解答

现代设计理论与方法第3章习题解答_第1页
1/6
现代设计理论与方法第3章习题解答_第2页
2/6
现代设计理论与方法第3章习题解答_第3页
3/6
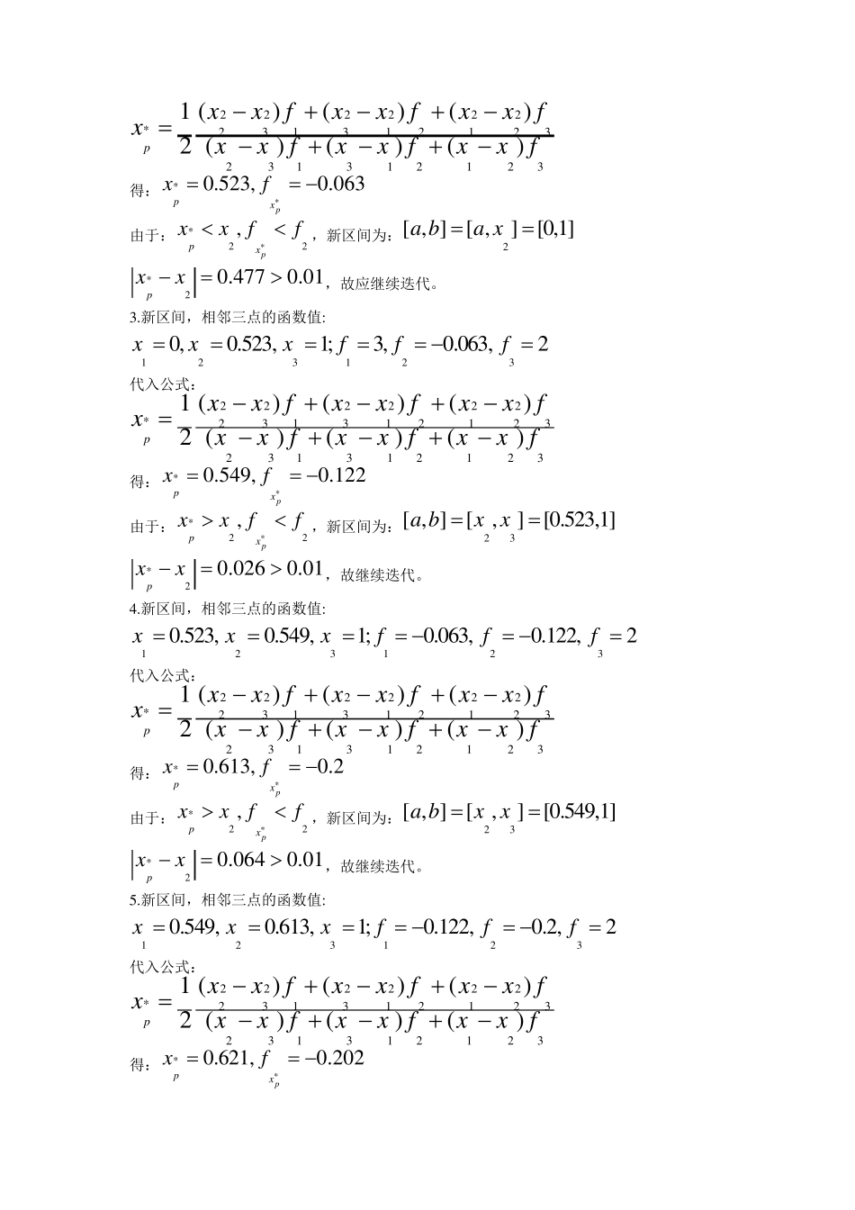
第三章 优化设计部分习题解答 1、优化设计问题的数学模型由哪几个部份组成?其一般的表达形式是什么? 答:一般由设计变量,目标函数和约束条件组成。其一般表达式为: min( ),. .( )01,2,,( )01,2,,njkfRs t gjmhklxxxx 2、判断下列目标函数是否有极值点。 122212221122(1) ()(2) ()(3) ()346F Xx xF XxxF Xxx xx 解:(1)2*10()000xF XXx    *X 处的 Hessen 矩阵为: 122112*202120()()01()()()10xxF XF Xxx xH XF XF Xx xx  其二阶代数主子式**()10HX   故知目标函数没有极值点。 (2)同理,无极值点 (3)存在极值点,**[0,0] ,()6TXF X 3、确定函数3( )389f xxx的一个搜索区间,初始点00x ,初始步长00.1h 。 解:可依照进退法搜索的思路进行, (1)第一步搜索 0010,()9xf xf 100210.1,( )8.203xxhff x 12ff (2)第二步搜索 令0020.2hh, 300330.2,()7.424xxhff x 2323,xxff,此时令 1122230.1,8.2030.2,7.424xffxff (3)第三步搜索 令0020.4hh, 310330.5,()5.375xxhff x 2323,xxff,此时令 121223230.2,7.4240.5,5.375xxffxxff (4)第四步搜索 令0020.8hh, 310331,()4xxhff x 2323,xxff,此时令 121223230.5,5.3751,4xxffxxff (5)第五步搜索 令0021.6hh, 310332.1,()19.983xxhff x 2323,xxff, 故初始搜索区间为 13[,][0.5, 2.1]x x 4、按二次插值法框图步骤,计算函数32( )8273f xxxx的最优解,初始搜索区间[0,2] ,迭代精度0.01 。 解:1.确定初始区间 初始区间[ , ][0,2]a b  另有一中间点21x 。 2. 用二次插值法逼近极小点 相邻三点的函数值: 1231230,1,2;3,2,45xxxfff 代入公式: 222222*2313121232313121231 ()()()2 ()()()pxxfxxfxxfxxxfxx fxxf 得:**0.523,0.063ppxxf  由于:**22,ppxxxff,新区间为:2[ , ][ ,][0,1]a ba x *20.4770.01pxx,故应继续迭代。 3.新区间,相邻三点的函数值: 1231230,0.523,1;3,0...

1、当您付费下载文档后,您只拥有了使用权限,并不意味着购买了版权,文档只能用于自身使用,不得用于其他商业用途(如 [转卖]进行直接盈利或[编辑后售卖]进行间接盈利)。
2、本站所有内容均由合作方或网友上传,本站不对文档的完整性、权威性及其观点立场正确性做任何保证或承诺!文档内容仅供研究参考,付费前请自行鉴别。
3、如文档内容存在违规,或者侵犯商业秘密、侵犯著作权等,请点击“违规举报”。

碎片内容

现代设计理论与方法第3章习题解答

您可能关注的文档

确认删除?
VIP
微信客服
  • 扫码咨询
会员Q群
  • 会员专属群点击这里加入QQ群
客服邮箱
回到顶部