电脑桌面
添加小米粒文库到电脑桌面
安装后可以在桌面快捷访问

《高等化工热力学》习题及参考答案VIP专享

《高等化工热力学》习题及参考答案_第1页
1/17
《高等化工热力学》习题及参考答案_第2页
2/17
《高等化工热力学》习题及参考答案_第3页
3/17
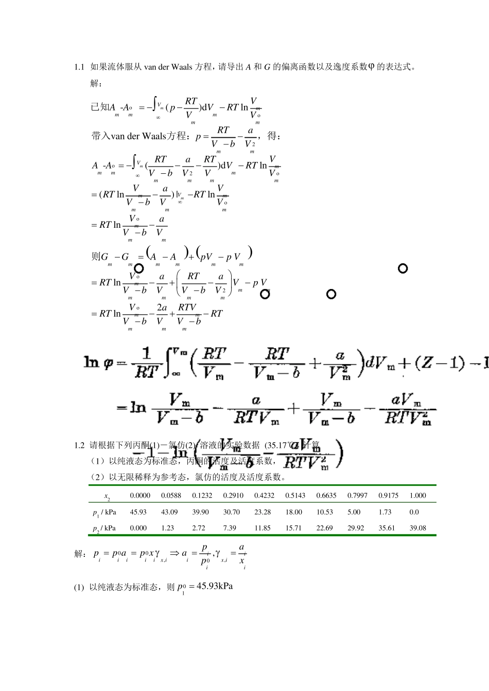
1.1 如果流体服从van der Waals 方程,请导出A 和G 的偏离函数以及逸度系数 的表达式。 解: oo2o2ooo- ()dlnvan der Waals-()dln(ln) |lnlnmmmVmmmmmmmmVmmmmmmmmVmmmmmmmmVRTA ApVRTVVRTapVbVVRTaRTA AVRTVbVVVVVaRTRTVbVVVaRTVbV  已知带入方程:,得: o2oln2lnmmmmmmmmmmmmmmmmmmGGAApVp VVaRTaRTVp VVbVVbVVRTVaRTRTVbVVb则 1.2 请根据下列丙酮(1)-氯仿(2) 溶液的实验数据 (35.17℃) 计算 (1)以纯液态为标准态,丙酮的活度及活度系数, (2)以无限稀释为参考态,氯仿的活度及活度系数。 x2 0.0000 0.0588 0.1232 0.2910 0.4232 0.5143 0.6635 0.7997 0.9175 1.000 p1 / kPa 45.93 43.09 39.90 30.70 23.28 18.00 10.53 5.00 1.73 0.0 p2 / kPa 0.000 1.23 2.72 7.39 11.85 15.71 22.69 29.92 35.61 39.08 解: 00,,0 ,iiiiiiix iix iiipapp ap xapx (1) 以纯液态为标准态,则0145.93kPap  111,1012,1xpaapx  (2) 以无限稀释为参考态,则0239.08kPap  ,2,2,2*222,2022,,xxxxpaapx  x2 0.0000 0.0588 0.1232 0.2910 0.4232 0.5143 0.6635 0.7997 0.9175 1.000 p1 / kPa 45.93 43.09 39.90 30.70 23.28 18.00 10.53 5.00 1.73 0.0 p2 / kPa 0.000 1.23 2.72 7.39 11.85 15.71 22.69 29.92 35.61 39.08 1a 1 0.9382 0.8687 0.6684 0.5069 0.3919 0.2293 0.1089 0.0377 0 ,1x 1 0.9968 0.9908 0.9427 0.8787 0.8069 0.6813 0.5435 0.4566 2a 0 0.0315 0.0696 0.1891 0.3032 0.4020 0.5806 0.7656 0.9112 1 ,2x ,2x  =0.50 0.5353 0.5649 0.6498 0.7165 0.7816 0.8751 0.9574 0.9931 1 ,2*x 1.0000 1.0705 1.1299 1.2997 1.4330 1.5633 1.7501 1.9147 1.9863 2.0000 1.3 已知对45℃时四氯化碳(1)-乙腈(2)混合物的平衡气相组成,总蒸气压及混合热如下,请分别计算: (1)活度1a ,2a 与 x 的关系曲线, (2)45℃时 G及ST 与 x 的关系曲线, (3)exH,exG及exTS与 x 的关系曲线。 x1 0 0.128 0.317 0.414 0.631 0.821 1 y1 0 0.400 0.521 0.560 0.608...

1、当您付费下载文档后,您只拥有了使用权限,并不意味着购买了版权,文档只能用于自身使用,不得用于其他商业用途(如 [转卖]进行直接盈利或[编辑后售卖]进行间接盈利)。
2、本站所有内容均由合作方或网友上传,本站不对文档的完整性、权威性及其观点立场正确性做任何保证或承诺!文档内容仅供研究参考,付费前请自行鉴别。
3、如文档内容存在违规,或者侵犯商业秘密、侵犯著作权等,请点击“违规举报”。

碎片内容

《高等化工热力学》习题及参考答案

确认删除?
VIP
微信客服
  • 扫码咨询
会员Q群
  • 会员专属群点击这里加入QQ群
客服邮箱
回到顶部