电脑桌面
添加小米粒文库到电脑桌面
安装后可以在桌面快捷访问

七年级一元一次方程经典题型计算题100道

七年级一元一次方程经典题型计算题100道_第1页
1/6
七年级一元一次方程经典题型计算题100道_第2页
2/6
七年级一元一次方程经典题型计算题100道_第3页
3/6
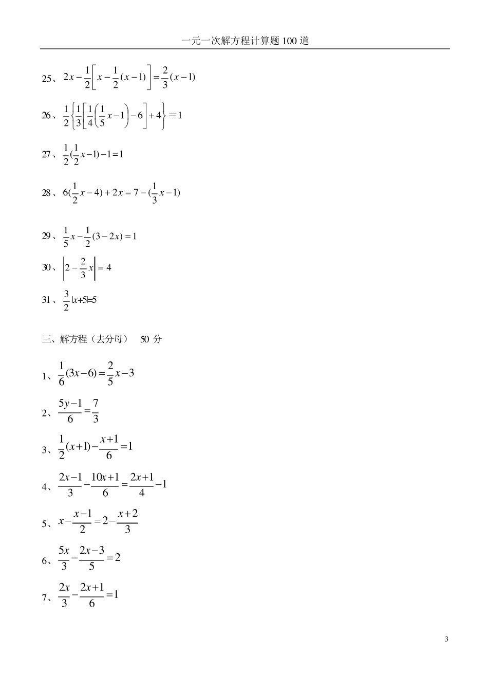
一元一次解方程计算题1 0 0 道 1 经 典 题 型 一、解方程(等式的性质)2 0 分 1 、xx232 2 、4631 27.253.13xxxx 3 、xx21  4 、x355 5 、15 x 6 、1835xx 7 、xx237 8 、xxx58.42.13 9 、26473xxx 1 0 、xxx91 0 026 41 1 1 1 、xxxx43987 1 2 、xxx25.132 1 3 、xx3.15.67.05.0 1 4 、3.05.064xxx 1 5 、152xx 1 6 、3536xx 1 7 、3223x 1 8 、1 68421xxxxx 1 9 、432214xx 一元一次解方程计算题100 道 2 20、xxx3212 二、解方程(去括号)30 分 1、4)1(2x 2、5)1(10x 3、95)3(xx 4、)12(1)2(3xxx 5、)15(2)2(5xx 6、)4(3)2()1(2xxx 7、1)1(234xx 8、xxx31)1(2)1( 9、)1(3)14(6)2(2xxx 10、)1(9)15(3)2(4xxx 11、)12(3)32(21xx 12、xxx31)1(2)1( 13、)9(76)20(34xxxx 14、)3()2(2xx 15、)1(72)4(2xxx 16、)43(23)165(2xxx 17、)12(41)2(3xxx 18、)4(12)2(24xxx 19、)1(9)14(3)2(2xxx 20、)1(9)14(3)2(2yyy 21、)9(76)20(34xxxx 22、17}20]8)15(4[3{2x 23、2)]}4(8[2{3]5)4(3[2xxxxxx24、)1(32)1(2121xxx 一元一次解方程计算题100 道 3 25、1122(1)(1)223xxxx 26、46151413121x=1 27、11)121(21x 28、)131(72)421(6xxx 29、1)23(2151xx 30、2243 x 31、 23 |x+5|=5 三、解方程(去分母)50 分 1、352)63(61xx 2、37615y 3、161)1(21xx 4、14126110312xxx 5、32221xxx 6、253235 xx 7、161232 xx 一元一次解方程计算题1 0 0 道 4 8 、4631 0xx 9 、12.03.015.02.01.0xxx 1 0 、353235xx 1 1 、6.13.0522.03xx 1 2 、221412xx 1 3 、222534yyy 1 4 、52221yy 1 5 ...

1、当您付费下载文档后,您只拥有了使用权限,并不意味着购买了版权,文档只能用于自身使用,不得用于其他商业用途(如 [转卖]进行直接盈利或[编辑后售卖]进行间接盈利)。
2、本站所有内容均由合作方或网友上传,本站不对文档的完整性、权威性及其观点立场正确性做任何保证或承诺!文档内容仅供研究参考,付费前请自行鉴别。
3、如文档内容存在违规,或者侵犯商业秘密、侵犯著作权等,请点击“违规举报”。

碎片内容

七年级一元一次方程经典题型计算题100道

您可能关注的文档

小辰5+ 关注
实名认证
内容提供者

出售各种资料和文档

相关文档

确认删除?
VIP
微信客服
  • 扫码咨询
会员Q群
  • 会员专属群点击这里加入QQ群
客服邮箱
回到顶部