电脑桌面
添加小米粒文库到电脑桌面
安装后可以在桌面快捷访问

不等式的经典公式和经典例题讲解

不等式的经典公式和经典例题讲解_第1页
1/7
不等式的经典公式和经典例题讲解_第2页
2/7
不等式的经典公式和经典例题讲解_第3页
3/7
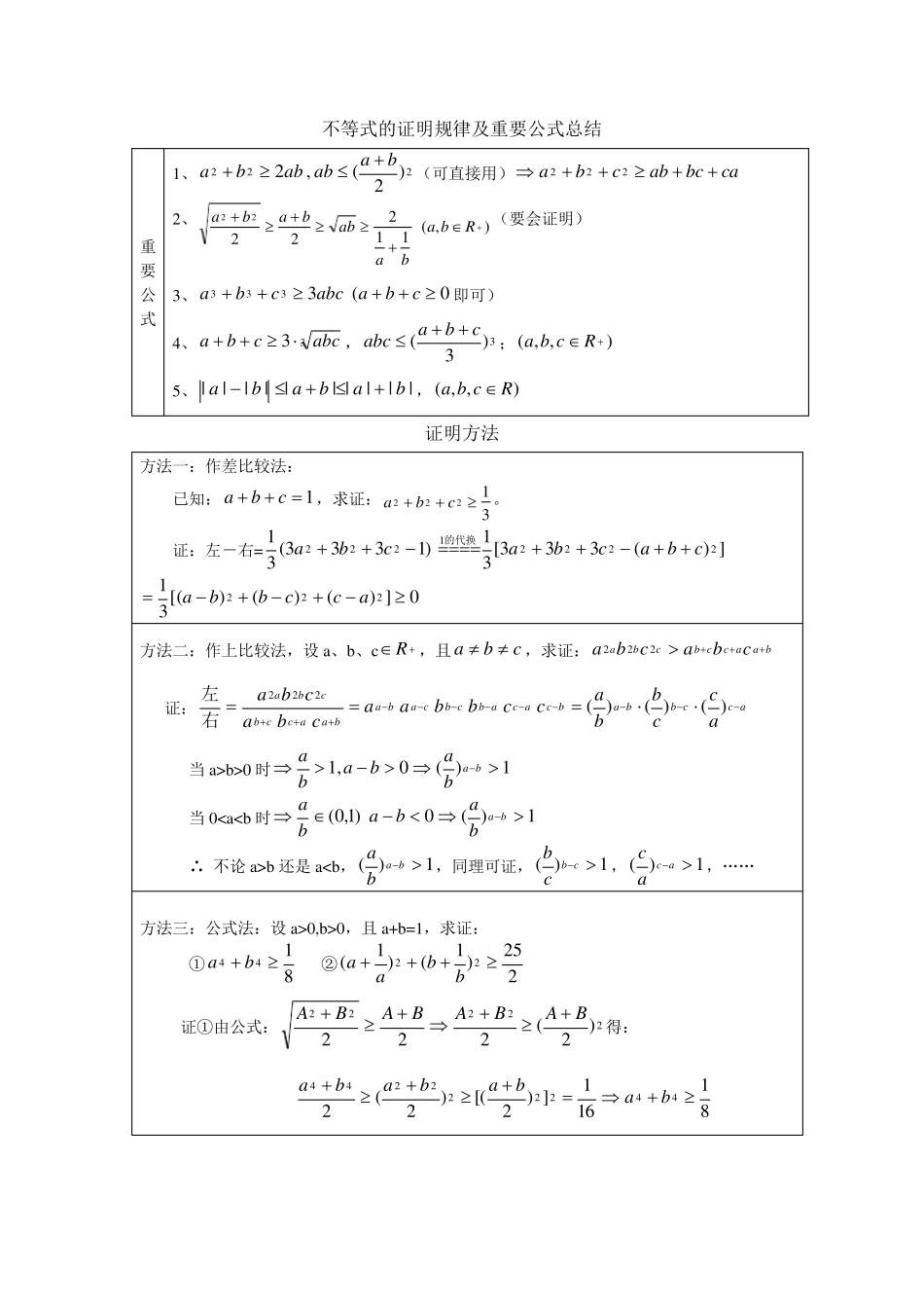
不等式的证明规律及重要公式总结 重要公式 1、222)2(,2baababba(可直接用)cabcabcba222 2、),(1122222Rbabaabbaba(要会证明) 3、0(3333cbaabccba即可) 4、33abccba,3)3(cbaabc;),,( Rcba 5、||||||||||bababa,),,(Rcba 证明方法 方法一:作差比较法: 已知:1cba,求证:31222cba。 证:左-右=)1333(31222cba])(333[3122221cbacba的代换 0])()()[(31222accbba 方法二:作上比较法,设a、b、c R ,且 cba,求证:baaccbcbacbacba222 证:accbbabcacabcbcababaaccbcbaaccbbaccbbaacbacba)()()(222右左 当a>b>0 时1)(0,1babababa 当0b 还是a0,b>0,且a+b=1,求证: ①8144 ba ②225)1()1(22bbaa 证①由公式:22222)2(222BABABABA得: 81161])2[()2(2442222244babababa 证②由2)()2(2222222BABABABA ∴ 左222)11(21][21)]1()1[(21ababbababbaa (*) 4141)2(2abbaab ∴ (*)225)41(212  方法四:放缩法: )1(lo glo g)2()1()1(nnnnn n >1, ∴ 0lo g)1(nn ∴ 只要证: 1lo glo g)2()1()1(nnnn即可 左< 2)2()1(2)2(11]lo g21[)]lo g(lo g21[nnnnnnn < 1]lo g21[](lo g21[2)1()1(2)12(122nnnnn 方法五:分析法:设a1,a2,b1,b2 R ,求证:21212211))((bbaababa(自证) 方法六:归纳猜想、数学归纳法:设0,0ba,求证:2)2(nnnbaba(自证) 高考数学百大经典例题——不等式性质 概念、方法、题型、易误点及应试技巧总结 不等式 一.不等式的性质: 1.同向不等式可以相加;异向不等式可以相减:若,ab cd,则acbd(若,ab cd,则 acbd ),但异向不等式不可以相加;同向不等式不可以相减; 2.左右同正不等式:同向的不等式可以相乘,但不能相除;异向不等式可以相除,但不能相乘:若0,0abcd,则 acbd(...

1、当您付费下载文档后,您只拥有了使用权限,并不意味着购买了版权,文档只能用于自身使用,不得用于其他商业用途(如 [转卖]进行直接盈利或[编辑后售卖]进行间接盈利)。
2、本站所有内容均由合作方或网友上传,本站不对文档的完整性、权威性及其观点立场正确性做任何保证或承诺!文档内容仅供研究参考,付费前请自行鉴别。
3、如文档内容存在违规,或者侵犯商业秘密、侵犯著作权等,请点击“违规举报”。

碎片内容

不等式的经典公式和经典例题讲解

您可能关注的文档

小辰7+ 关注
实名认证
内容提供者

出售各种资料和文档

确认删除?
VIP
微信客服
  • 扫码咨询
会员Q群
  • 会员专属群点击这里加入QQ群
客服邮箱
回到顶部