电脑桌面
添加小米粒文库到电脑桌面
安装后可以在桌面快捷访问

中国人口增长规律

中国人口增长规律_第1页
1/8
中国人口增长规律_第2页
2/8
中国人口增长规律_第3页
3/8
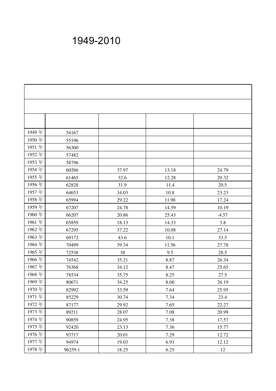
1949-2010 中国人口增长规律 表一 年度总人口年末等指标统计 地区:全 国 总人口年末(万人) 人口出生率(‰) 人口死亡率(‰) 人口自然增长率(‰) 1 9 4 9 年 5 4 1 6 7 1 9 5 0 年 5 5 1 9 6 1 9 5 1 年 5 6 3 0 0 1 9 5 2 年 5 7 4 8 2 1 9 5 3 年 5 8 7 9 6 1 9 5 4 年 6 0 2 6 6 3 7 .9 7 1 3 .1 8 2 4 .7 9 1 9 5 5 年 6 1 4 6 5 3 2 .6 1 2 .2 8 2 0 .3 2 1 9 5 6 年 6 2 8 2 8 3 1 .9 1 1 .4 2 0 .5 1 9 5 7 年 6 4 6 5 3 3 4 .0 3 1 0 .8 2 3 .2 3 1 9 5 8 年 6 5 9 9 4 2 9 .2 2 1 1 .9 8 1 7 .2 4 1 9 5 9 年 6 7 2 0 7 2 4 .7 8 1 4 .5 9 1 0 .1 9 1 9 6 0 年 6 6 2 0 7 2 0 .8 6 2 5 .4 3 -4 .5 7 1 9 6 1 年 6 5 8 5 9 1 8 .1 3 1 4 .3 3 3 .8 1 9 6 2 年 6 7 2 9 5 3 7 .2 2 1 0 .0 8 2 7 .1 4 1 9 6 3 年 6 9 1 7 2 4 3 .6 1 0 .1 3 3 .5 1 9 6 4 年 7 0 4 9 9 3 9 .3 4 1 1 .5 6 2 7 .7 8 1 9 6 5 年 7 2 5 3 8 3 8 9 .5 2 8 .5 1 9 6 6 年 7 4 5 4 2 3 5 .2 1 8 .8 7 2 6 .3 4 1 9 6 7 年 7 6 3 6 8 3 4 .1 2 8 .4 7 2 5 .6 5 1 9 6 8 年 7 8 5 3 4 3 5 .7 5 8 .2 5 2 7 .5 1 9 6 9 年 8 0 6 7 1 3 4 .2 5 8 .0 6 2 6 .1 9 1 9 7 0 年 8 2 9 9 2 3 3 .5 9 7 .6 4 2 5 .9 5 1 9 7 1 年 8 5 2 2 9 3 0 .7 4 7 .3 4 2 3 .4 1 9 7 2 年 8 7 1 7 7 2 9 .9 2 7 .6 5 2 2 .2 7 1 9 7 3 年 8 9 2 1 1 2 8 .0 7 7 .0 8 2 0 .9 9 1 9 7 4 年 9 0 8 5 9 2 4 .9 5 7 .3 8 1 7 .5 7 1 9 7 5 年 9 2 4 2 0 2 3 .1 3 7 .3 6 1 5 .7 7 1 9 7 6 年 9 3 7 1 7 2 0 .0 1 7 .2 9 1 2 .7 2 1 9 7 7 年 9 4 9 7 4 1 9 .0 3 6 .9 1 1 2 .1 2 1 9 7 8 年 9 6 2 5 9 .1 1 8 .2 5 6 .2 5 1 2 1 9 7 9 年 9 7 5 4 2 .8 ...

1、当您付费下载文档后,您只拥有了使用权限,并不意味着购买了版权,文档只能用于自身使用,不得用于其他商业用途(如 [转卖]进行直接盈利或[编辑后售卖]进行间接盈利)。
2、本站所有内容均由合作方或网友上传,本站不对文档的完整性、权威性及其观点立场正确性做任何保证或承诺!文档内容仅供研究参考,付费前请自行鉴别。
3、如文档内容存在违规,或者侵犯商业秘密、侵犯著作权等,请点击“违规举报”。

碎片内容

中国人口增长规律

您可能关注的文档

小辰7+ 关注
实名认证
内容提供者

出售各种资料和文档

确认删除?
VIP
微信客服
  • 扫码咨询
会员Q群
  • 会员专属群点击这里加入QQ群
客服邮箱
回到顶部