电脑桌面
添加小米粒文库到电脑桌面
安装后可以在桌面快捷访问

保险精算学期末复习题目

保险精算学期末复习题目_第1页
1/12
保险精算学期末复习题目_第2页
2/12
保险精算学期末复习题目_第3页
3/12
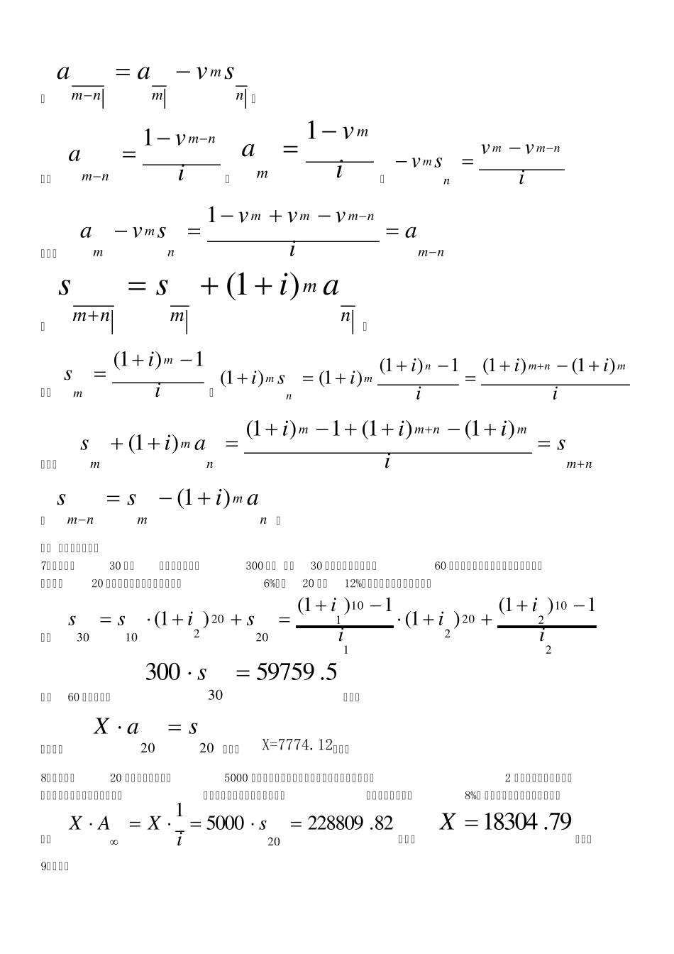
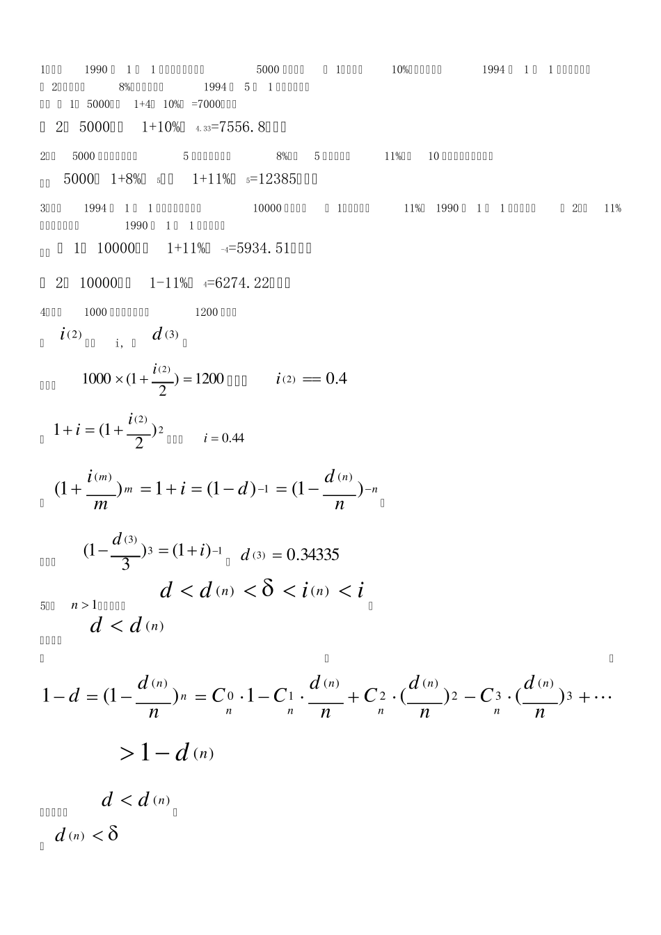
1.李华1990 年 1 月 1 日在银行帐户上有5000 元存款,( 1)在每年10%的单利下,求1994 年 1 月 1 日的存款额。( 2)在年利率8%的复利下,求1994 年 5 月 1 日的存款额。 解: ( 1) 5000×(1+4× 10%) =7000(元) ( 2) 5000×(1+10%)4.33=7556.8(元) 2.把5000 元存入银行,前5 年的银行利率为8%,后5 年年利率为11%,求10 年末的存款累计额。 解: 5000( 1+8%)5×(1+11%)5=12385(元) 3.李美1994 年 1 月 1 日在银行帐户上有10000 元存款。( 1)求在复利11%下 1990 年 1 月 1 日的现值。( 2)在11%的折现率下计算1990 年 1 月 1 日的现值。 解: ( 1) 10000×(1+11%)-4=5934.51(元) ( 2) 10000×(1-11%)4=6274.22(元) 4.假设1000 元在半年后成为1200 元,求 ⑴ )2(i,⑵ i, ⑶ )3(d。 解:⑴ 1 2 0 0)21(1 0 0 0)2(i;所以4.0)2(i ⑵2)2()21(1ii;所以4 4.0i ⑶nnmmnddimi)1()1(1)1()(1)(; 所以, 13)3()1()31(id;3 4 3 3 5.0)3(d 5.当1n时,证明:iiddnn)()(。 证明:①)(ndd  因为,3)(32)(2)(10)()()(1)1(1ndCndCndCCnddnnnnnnnnn )(1nd 所以得到,)(ndd ; ②)(nd )1()(mnemd;mmCmCmCmennnm1)()()(1443322 所以,)]1(1[)(mmd n ③)( ni ininn1]1[)(, 即,)1ln ()1ln ()(ininn 所以,)1()(nneni mmCmCmCmennnn1)()()(1443322 ]1)1[()(nni n ④ii n )( ininn1]1[)(,)(2)(2)(10)(1)(1]1[nnnnnnnniniCniCCni 所以,ii n )( 6.证明下列等式成立,并进行直观解释: ⑴nmmnmavaa; 解:ivanmnm 1,ivamm 1,ivvivvavnmmnmnm1 所以,nmnmmmnmmaivvvava1 ⑵nmmnmsvaa; 解:ivanmnm 1,ivamm 1,ivvsvnmmnm 所以,nmnmmmnmmaivvvsva1 ⑶nmmnmaiss)1( ; 解:iismm1)1(,iiiiiisimnmnmnm)1()1(1)1()1()1( 所以,nmmnmmnmmsiiiiais)...

1、当您付费下载文档后,您只拥有了使用权限,并不意味着购买了版权,文档只能用于自身使用,不得用于其他商业用途(如 [转卖]进行直接盈利或[编辑后售卖]进行间接盈利)。
2、本站所有内容均由合作方或网友上传,本站不对文档的完整性、权威性及其观点立场正确性做任何保证或承诺!文档内容仅供研究参考,付费前请自行鉴别。
3、如文档内容存在违规,或者侵犯商业秘密、侵犯著作权等,请点击“违规举报”。

碎片内容

保险精算学期末复习题目

您可能关注的文档

小辰8+ 关注
实名认证
内容提供者

出售各种资料和文档

相关文档

确认删除?
VIP
微信客服
  • 扫码咨询
会员Q群
  • 会员专属群点击这里加入QQ群
客服邮箱
回到顶部