电脑桌面
添加小米粒文库到电脑桌面
安装后可以在桌面快捷访问

信号与系统奥本海姆中文答案chapter4

信号与系统奥本海姆中文答案chapter4_第1页
1/9
信号与系统奥本海姆中文答案chapter4_第2页
2/9
信号与系统奥本海姆中文答案chapter4_第3页
3/9
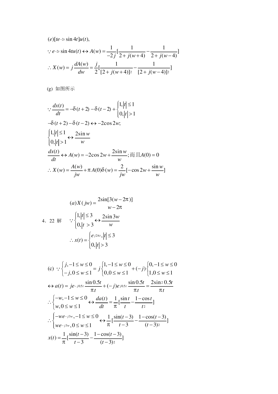
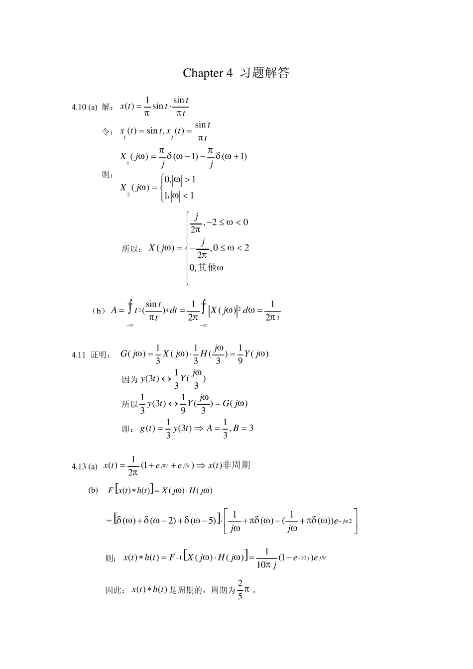
Chapter 4 习题解答 4.10 (a) 解: 1sin( )sintx ttt 令:12sin( )sin ,( )txtt xtt 则:12()(1)(1)0,1()11XjjjXj    , 所以:, 202(),0220,jjX j  其他 (b)2243sin11()()22tAtdtX jdt 4.11 证明: 111()()()()3339jG jX jHY j 因为1(3 )()33jytY 所以11(3 )()()393jytYG j 即: 11( )(3 ),333g tytAB 4.13 (a) 51( )(1)( )2j tj tx teex t非周期 (b) ( )( )()()F x th tX jH j 211( )(2)(5)( )(( ))jejj      则:11051( )( )()()(1)10jj tx th tFX jH jeej 因此:( )( )x th t是周期的,周期为25  。 (c) 由(b)可知,( )xt 和( )h t 都不是周期的,但卷积周期。这说明两个非周期信号的卷积有可能是周期的。 4.14 解: 由条件 2 得:2 ( )2tAF Aeu tj  所以:(1)()2AjX jj 即:11()()(2)(1)12AX jAjjjj 2( )() ( )ttxtA eeu t 由条件 3 知:22220( )1()1ttxtdtA eedt  212A,由( )02 3xtA 从而有2( )2 3() ( )ttxteeu t。 4.21 解 (a) 0[c o s] ( ) ,0atew t u t a 001( ),0111()[]2()()ateu t aajwX jwaj wwaj ww (c) 1c o s,1( )0,1t txtt  111 cos,11,1,1,122( )0,10,10,10,12sinsinsin( )j tj tt ttetetxtttttwwwX wwww  2222( )[sin 4 ] ( ),111sin 4( )( )[]22(4)2(4)( )11( )[]2 [2(4)][2(4)]tte tet u tetu tA wjj wj wdA wjX wjdwj wj w (g) 如图所示 1,1( )(2)(2)0,1(2)(2)2cos2 ;1,12sin0,1( )2sin( )2cos2;(0)0( )2sin( )(0) ( )[ cos2]tdxtttdttttwtwwtdxtwA wwAdtwA wwX wAwwjwjww...

1、当您付费下载文档后,您只拥有了使用权限,并不意味着购买了版权,文档只能用于自身使用,不得用于其他商业用途(如 [转卖]进行直接盈利或[编辑后售卖]进行间接盈利)。
2、本站所有内容均由合作方或网友上传,本站不对文档的完整性、权威性及其观点立场正确性做任何保证或承诺!文档内容仅供研究参考,付费前请自行鉴别。
3、如文档内容存在违规,或者侵犯商业秘密、侵犯著作权等,请点击“违规举报”。

碎片内容

信号与系统奥本海姆中文答案chapter4

您可能关注的文档

确认删除?
VIP
微信客服
  • 扫码咨询
会员Q群
  • 会员专属群点击这里加入QQ群
客服邮箱
回到顶部