电脑桌面
添加小米粒文库到电脑桌面
安装后可以在桌面快捷访问

光学教程(第四版)姚启均第1、2章课后习题答案

光学教程(第四版)姚启均第1、2章课后习题答案_第1页
1/33
光学教程(第四版)姚启均第1、2章课后习题答案_第2页
2/33
光学教程(第四版)姚启均第1、2章课后习题答案_第3页
3/33
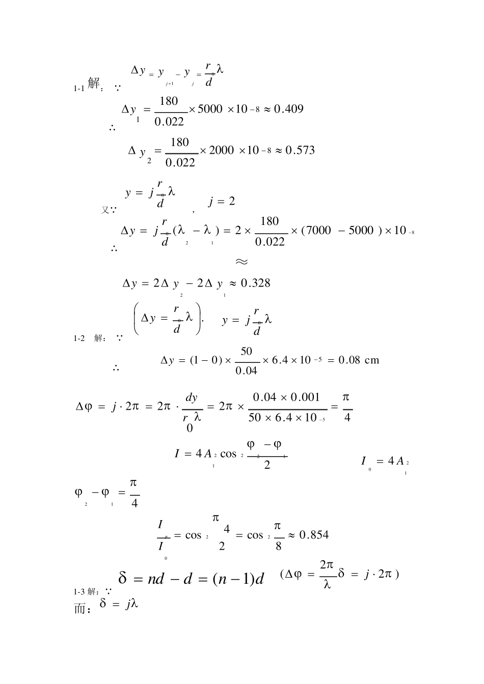
1-1 解: ∴ cm cm 又 , ∴ ≈0.327 cm or: cm 1-2 解: j=0,1 ∴ (1) (2) (3) 1-3 解: 而: dryyyjj01409.0105000022.018081y573.0102000022.018082ydrjy02j812010)50007000(022.01802)(drjy328.02212yyy.0drydrjy0cm 08.0104.604.050)01(5 y4104.650001.004.020225rdyj2cos412221 AI2104 AI412854.08cos24cos220IIpdndnd)1( )22(jj∴ 1-4 解: 1-5 解: 1-6解:(1) cmmnjd46710610615.110651cmdry125.010500002.0508023221222:943.023221221222212122121minmaxminmax21212IIIIVorAAAAIIIIVAAIIAIsin2 rlry'18122.00035.0sin0035.01070001.0202180202sinoyrlrmmmmdry19.01875.01050022150070[利用 亦可导出同样结果。] (2)图 即:离屏中央 1.16mm 的上方的 2.29mm 范围内,可见 12 条暗纹。(亮纹之间夹的是暗纹) 1-7.解: 2,220yrdj条)(1219.029.2)(29.216.145.3)(45.355.02)4.055.0()()()(16.195.01.14.055.0255.0102021220110ylNmmpppplppmmAaBCtgBCppmmCAaBBtgpp,1,02)12(sin2122122jjinnh二级合题意取,24sin122)12(sin22sin2:4260470030sin133.11124sin121221221221221221220222122122jinnjhjinnhinnhorAinnjho1-8.解: 1-9.解:薄膜干涉中,每一条级的宽度所对应 的空气劈的厚度的变化量为: 若认为薄膜玻璃片的厚度可以略去不计的情况下, 则可认为 Or: 2)12(cos2200jindcmndijinnhorji57min0112212021038.1410550040.2)12(sin2:00而厚度h 所对应的斜面上包含的条纹数为: 故玻璃片上单位长度的条纹数为: 1 -1 0 .解: 对于空气劈,当光垂直照射时, 有 1 -1 1 .解: 是正射, 2)21(0jdnmmmlldlldld...

1、当您付费下载文档后,您只拥有了使用权限,并不意味着购买了版权,文档只能用于自身使用,不得用于其他商业用途(如 [转卖]进行直接盈利或[编辑后售卖]进行间接盈利)。
2、本站所有内容均由合作方或网友上传,本站不对文档的完整性、权威性及其观点立场正确性做任何保证或承诺!文档内容仅供研究参考,付费前请自行鉴别。
3、如文档内容存在违规,或者侵犯商业秘密、侵犯著作权等,请点击“违规举报”。

碎片内容

光学教程(第四版)姚启均第1、2章课后习题答案

小辰3+ 关注
实名认证
内容提供者

出售各种资料和文档

确认删除?
VIP
微信客服
  • 扫码咨询
会员Q群
  • 会员专属群点击这里加入QQ群
客服邮箱
回到顶部