电脑桌面
添加小米粒文库到电脑桌面
安装后可以在桌面快捷访问

光电信息物理基础课后答案已整理

光电信息物理基础课后答案已整理_第1页
1/22
光电信息物理基础课后答案已整理_第2页
2/22
光电信息物理基础课后答案已整理_第3页
3/22
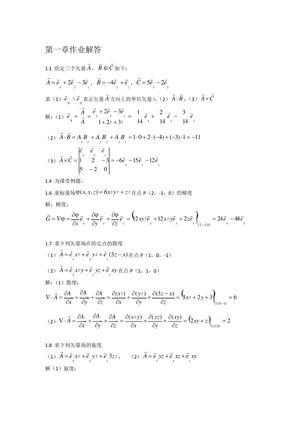
第一章作业解答 1.1 给定三个矢量A,B和C如下: zyxeeeA32,zyeeB 4,yxeeC25 求(1)Ae(Ae表示矢量A方向上的单位矢量);(2)BA;(3)CA 解:(1)zyxzyxAeeeeeeAAe1 431 421 413213222 (2)1 11)3()4(201zzyyxxBABABABA (3)zyxzyxeeeeeeCA1 21 560 2 53 2 1  1.4 为课堂例题。 1.6 求标量场2226),,(zyxzyx在点 P(2,-1,0)的梯度 解:梯度: yxxyxzyxeeezeyxexyezeyexG4 82 421 21 2)0,1,2(22 1.7 求下列矢量场在给定点的散度 (1))3(23xzeyexeAzyx在点 P(1,0,-1) (2)xyeyzeyxeAzyx2在点 P(1,1,0) 解:(1)散度: 6323)3()()()1,0,1(223yxzxzyyxxzAyAxAAzyx (2)22)()()()0,1,1(2zxyzxyyyzxyxzAyAxAAzyx 1.8 求下列矢量场的旋度 (1)2223 zeyexeAzyx; (2)xyexzeyzeAzyx 解(1)旋度: 0)()()3()()()3(z3 222222222yxxyexzzxezyyzeyxzyxeeeAAAzyxeeeAzyxzyxzyxzyx (2 )0)()()()()()(y z yyzxxzexxyzyzezxzyxyexxzyzyxeeeAzyxzyx 第二章 习题答案 高斯定理求解带电球面,带电球体,带电圆柱体及无限大均匀带电平面电荷分布,详见大学物理课本(安徽教育出版社上册P130-133)。 2.3 设真空中的一对平行导线之间距离为d,两导线上电流分布为I1 和I2,试计算长为L 的两导线之间的作用力。(详见大学物理平行载流导线间的作用力安徽教育出版社上册 p191) 4.6 证明电矢量轨迹方程是椭圆方程 第五章习题解答 第六章习题解答 6.1 解:(1)波函数的归一化条件为1)(2dxx 注意要先对波函数取绝对值即211)(xCixCx 因此122arctan1122222...

1、当您付费下载文档后,您只拥有了使用权限,并不意味着购买了版权,文档只能用于自身使用,不得用于其他商业用途(如 [转卖]进行直接盈利或[编辑后售卖]进行间接盈利)。
2、本站所有内容均由合作方或网友上传,本站不对文档的完整性、权威性及其观点立场正确性做任何保证或承诺!文档内容仅供研究参考,付费前请自行鉴别。
3、如文档内容存在违规,或者侵犯商业秘密、侵犯著作权等,请点击“违规举报”。

碎片内容

光电信息物理基础课后答案已整理

您可能关注的文档

确认删除?
VIP
微信客服
  • 扫码咨询
会员Q群
  • 会员专属群点击这里加入QQ群
客服邮箱
回到顶部