电脑桌面
添加小米粒文库到电脑桌面
安装后可以在桌面快捷访问

医用高等数学题库

医用高等数学题库_第1页
1/36
医用高等数学题库_第2页
2/36
医用高等数学题库_第3页
3/36
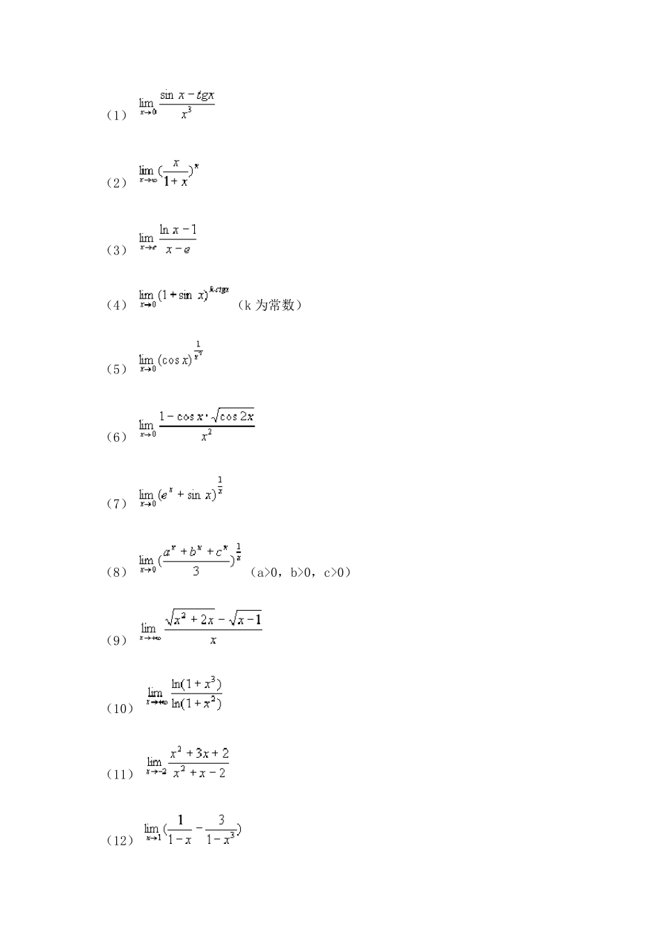
医用高等数学题库 第一章 函数与极限 1. 设 ,求 ,并作出函数 的图形。 2. 设 , ,求 ,并作出这两个函数的图形。 3. 设 ,求 。 4. 试证下列函数在指定区间内的单调性: (1) (2) 5.下列函数中哪些是是周期函数?对于周期函数,指出其周期: (1) (2) 6.设 。试求下列复合函数,并指出x 的取值范围。 7.已知对一切实数x 均有 ,且 f(x)为单调增函数,试证: 8.计算下列极限: (1) (2) (3) 9.(1)设 ,求常数a,b。 (2)已知 ,求a,b。 10.计算下列极限: (1) (2) (x 为不等于零的常数) (3) (4) (5) (k 为正整数) 11.计算下列极限: (1) (2) (3) (4) (k 为常数) (5) (6) (7) (8) (a>0,b>0,c>0) (9) (10) (11) (12) (13) (14) (15) (16) (17) (18) (19) (20) (21) (22) (23) (24) 12.当 时,无穷小1-x 和(1) (2) 是否同阶?是否等价? 13.证明:当 时,有(1) (2) 14.利用等价无穷小的性质求下列极限: (1) (n,m 为正整数) (2) 15.试确定常数 a,使下列各函数的极限 存在: (1) (2) 16.讨论下列函数的连续性: (1) 的连续性 (2) 在x=0 处的连续性 17.设函数 在[0,2a]上连续, ,试证方程 在[0,a]内至少存在一个实根。 18.设函数 在开区间(a,b)内连续, ,试证:在开区间(a,b)内至少有一点 c,使得 (其中 )。 第二章 导数与微分 1.讨论下列函数在x=0 处的连续性与可导性: (1) (2) 2.设 存在,求 3.设 ,问 a,b 为何值时, 在x=0 处可导? 4.已知 ,求 及 ,并问: 是否存在? 5.证明:双曲线 上任一点处的切线与两坐标轴构成的三角形的面积都等于 。 6.问当系数 a 为何值时,抛物线 与曲线 相切? 7.求下列各函数的导数: (1) (2) (3) (4) (5) (6) (7) (8) (a>0) (9) (10) (11) (12) (13) (14) (15) (16) (17) (18) (19) (20) (21) (22) (23) (24) 8.求曲线 在点 处的切线方程和法线方程。 9.用对数求导法求下列函数的导数: (1) (2) (3) (4) (5) 10.求下列隐函数 的导数 : (1) (2) ,求 (3) (4) (5) 11.求下列函数的n...

1、当您付费下载文档后,您只拥有了使用权限,并不意味着购买了版权,文档只能用于自身使用,不得用于其他商业用途(如 [转卖]进行直接盈利或[编辑后售卖]进行间接盈利)。
2、本站所有内容均由合作方或网友上传,本站不对文档的完整性、权威性及其观点立场正确性做任何保证或承诺!文档内容仅供研究参考,付费前请自行鉴别。
3、如文档内容存在违规,或者侵犯商业秘密、侵犯著作权等,请点击“违规举报”。

碎片内容

医用高等数学题库

您可能关注的文档

确认删除?
VIP
微信客服
  • 扫码咨询
会员Q群
  • 会员专属群点击这里加入QQ群
客服邮箱
回到顶部