电脑桌面
添加小米粒文库到电脑桌面
安装后可以在桌面快捷访问

实验一全息照相

实验一全息照相_第1页
1/20
实验一全息照相_第2页
2/20
实验一全息照相_第3页
3/20
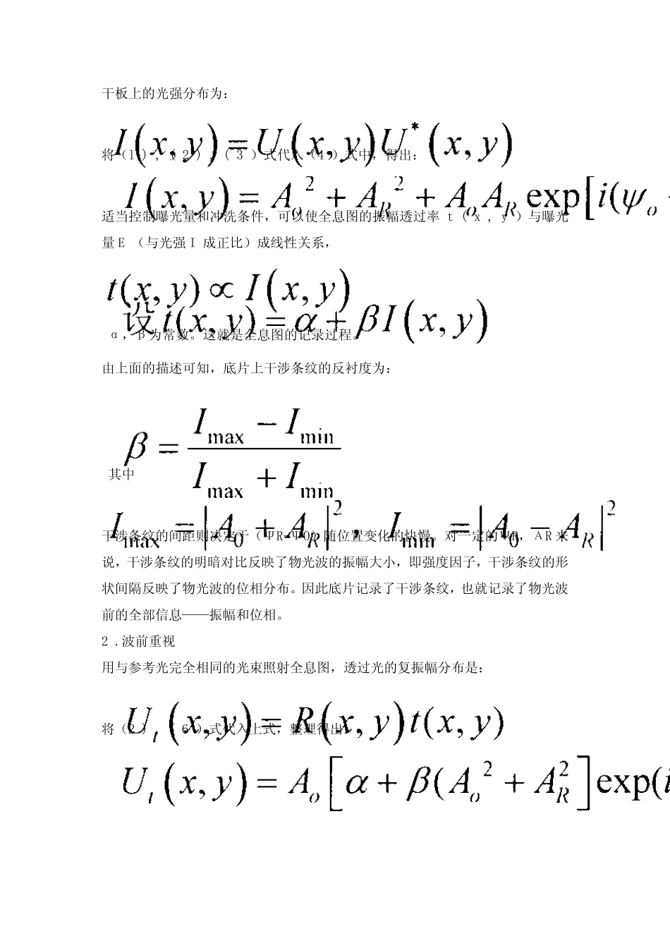
信息光学基础实验 目 录 实验一 全息照相 实验二 制作全息光栅 实验三 阿贝成像原理和空间滤波 实验四 θ调制和颜色合成 实验一 全息照相 一.实验目的 了解全息照相的基本原理,学习拍摄全息图与再现立体图像的方法。 二、实验原理 全息照相是一种新型的照相技术。早在1948 年伽柏(D . Gabor )就提出了全息原理。60 年代初激光的发明使全息技术得到迅速的发展,并在许多领域得到了广泛的应用。 无论从基木原理上,还是从拍摄和观察方法上,全息照相与普通照相都有本质的区别。普通照相基于几何光学的透镜成像原理,它所记录的是物通过透镜成像后,像平面上的光强分布,而失掉了光波的另一个信息——位相,因而只能呈现一个平面图像,而失去了立体感。全息照相是基于干涉、衍射的原理。它的关键是引入一束相干的参考光波,使其和来自物体的物光波在个全息干板处相干涉,底片上以干涉条纹的形式记录下物光波的全部信息—— 强度和位相,这就是全息照相名称的由来。经过显影定影等暗室处理后,底片上形成明暗相间的复杂的干涉条纹,这就是全息图。若用与参考光相同的光束以同样 的角 度照射全息图,全息、图上密 密 的干涉条纹相当 于一块 复杂的光栅 ,在光栅 的衍射光中 ,会 出现原来的物光波,能形成原物体的立体像。因此 ,全息照像可 分为 全息记录和波前 重 现两个基本过程 ,它们 的本质就是干涉和衍射。 (一).投 射式全息照相 透射式全息照相是指 重 现时 所观察的是全息图透射光的成像。下面对 平面全息图的情 况 做 具 体的数 学描 述 。 1.全息记录 设 来自物体的单 色 光波在全息干板平面(平面)上的复振 幅 分布为 : 称为 物光波。同一波长 的参考光波在于平板平面上的复振 幅 分布为 : 称为 参考光波。平板上总 的复振 幅 分布为 : 干板上的光强分布为: 将(l ) , ( 2 ) , ( 3 )式代入(4 )式中,得出: 适当控制曝光量和冲洗条件,可以使全息图的振幅透过率t ( x , y )与曝光量E (与光强I 成正比)成线性关系, α,β为常数。这就是全息图的记录过程。 由上面的描述可知,底片上干涉条纹的反衬度为: 其中 干涉条纹的间距则决定于(ΨR-ΨO)随位置变化的快慢。对一定的ΨR,АR 来说,干涉条纹的明暗对比反映了物光波的振幅大小,即强度因子,干涉条纹的形状间隔反映了物光波的位相分布。因此底片记录了干涉条纹...

1、当您付费下载文档后,您只拥有了使用权限,并不意味着购买了版权,文档只能用于自身使用,不得用于其他商业用途(如 [转卖]进行直接盈利或[编辑后售卖]进行间接盈利)。
2、本站所有内容均由合作方或网友上传,本站不对文档的完整性、权威性及其观点立场正确性做任何保证或承诺!文档内容仅供研究参考,付费前请自行鉴别。
3、如文档内容存在违规,或者侵犯商业秘密、侵犯著作权等,请点击“违规举报”。

碎片内容

实验一全息照相

小辰3+ 关注
实名认证
内容提供者

出售各种资料和文档

确认删除?
VIP
微信客服
  • 扫码咨询
会员Q群
  • 会员专属群点击这里加入QQ群
客服邮箱
回到顶部