电脑桌面
添加小米粒文库到电脑桌面
安装后可以在桌面快捷访问

微分方程数值解法答案

微分方程数值解法答案_第1页
1/9
微分方程数值解法答案_第2页
2/9
微分方程数值解法答案_第3页
3/9
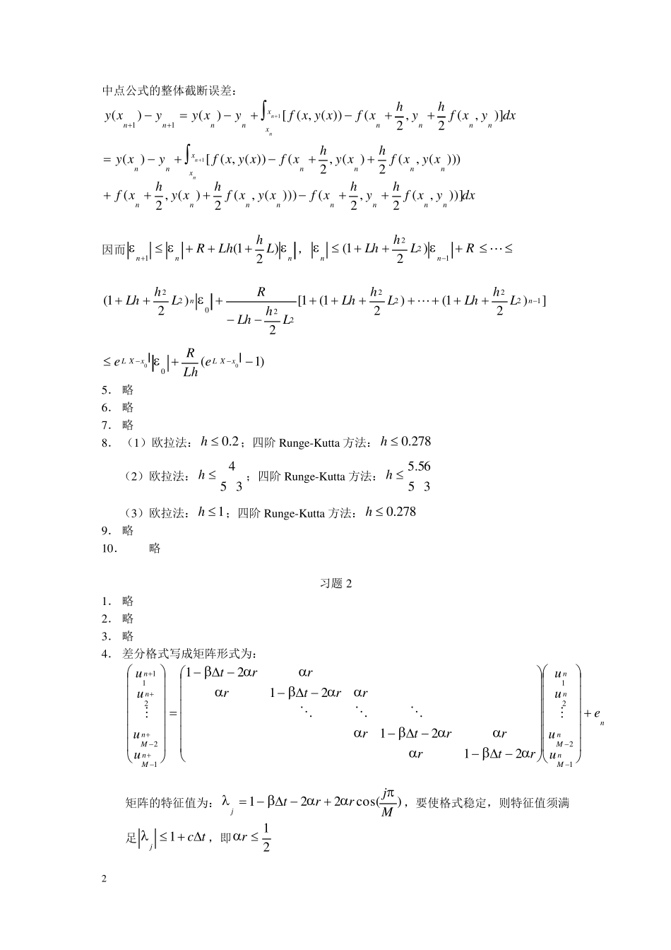
1 包括基本概念,差分格式的构造、截断误差和稳定性,这些内容是贯穿整个教材的主线。解答问题关键在过程,能够显示出你已经掌握了书上的内容,知道了解题方法。这次考试题目的类型:20 分的选择题,主要是基本概念的理解,后面有五个大题,包括差分格式的构造、截断误差和稳定性。 习题一 1. 略 2. yyxf),(, 梯 形 公 式:nnnnnnyhhyyyhyy)121(),(2111, 所 以0122)1(01])121[()121()121(yhhyhhyhhyhhnhhnnn, 当0h时 ,xney。 同理可以证明预报-校正法收敛到微分方程的解. 3. 局部截断误差的推导同欧拉公式; 整体截断误差: 1),())(,(11111nnxxnnnnnnndxyxfxyxfR 11)(nnnyxyLhR,这里RRn  而111)(nnnyxy,所以 RLhnn1)1(,不妨设1Lh/2,得到: ]11111[1111101nnnnLhLhLhRLhLhRLh ]1[2)(02)(00xXLxXLeLhRe 4. 中点公式的局部截断误差: dxxyxfhxyhxfxyxfyxynnxxnnnnnn))](,(2)(,2())(,([)(11*1 dxxyxfhxyhxfhxyhxfhxyxydxxyxfhxyhxfhxyhxfhxyhxfxyxfnnnnxxnnnnnnnxxnnnnnnnn))](,(2)(,2())2(,2([)]2()([))](,(2)(,2())2(,2())2(,2())(,([11所以上式为 dxhxxxyennxxnnn)2()(11 dxxyxfhxyhxfhxyhxfnnnnxxnnnn))](,(2)(,2())2(,2([1 3218)(LMhhxyLhenn 2 中点公式的整体截断误差: dxyxfhyhxfxyxfyxyyxynnxxnnnnnnnn)],(2,2())(,([)()(111 dxyxfhyhxfxyxfhxyhxfxyxfhxyhxfxyxfyxynnnnnnnnxxnnnnnnnn))],(2,2()))(,(2)(,2()))(,(2)(,2())(,([)(1 因而nnnLhLhR)21(1,RLhLhnn122)21( ])21()21(1[2)21(1222222022nnLhLhLhLhLhLhRLhLh )1(000xXLxXLeLhRe 5. 略 6. 略 7. 略 8. (1)欧拉法:2.0h;四阶 Ru nge-Ku tta 方法:278.0h (2)欧拉法:354h;四阶 Ru nge-Ku tta 方法:3556.5h (3)欧拉法:1h;四阶 Ru nge-Ku tta 方法:278.0h 9. 略 10. 略 习题 2 1. 略 2. ...

1、当您付费下载文档后,您只拥有了使用权限,并不意味着购买了版权,文档只能用于自身使用,不得用于其他商业用途(如 [转卖]进行直接盈利或[编辑后售卖]进行间接盈利)。
2、本站所有内容均由合作方或网友上传,本站不对文档的完整性、权威性及其观点立场正确性做任何保证或承诺!文档内容仅供研究参考,付费前请自行鉴别。
3、如文档内容存在违规,或者侵犯商业秘密、侵犯著作权等,请点击“违规举报”。

碎片内容

微分方程数值解法答案

您可能关注的文档

确认删除?
VIP
微信客服
  • 扫码咨询
会员Q群
  • 会员专属群点击这里加入QQ群
客服邮箱
回到顶部