电脑桌面
添加小米粒文库到电脑桌面
安装后可以在桌面快捷访问

空间向量之建立空间直角坐标系的方法及技巧VIP免费

空间向量之建立空间直角坐标系的方法及技巧_第1页
1/5
空间向量之建立空间直角坐标系的方法及技巧_第2页
2/5
空间向量之建立空间直角坐标系的方法及技巧_第3页
3/5
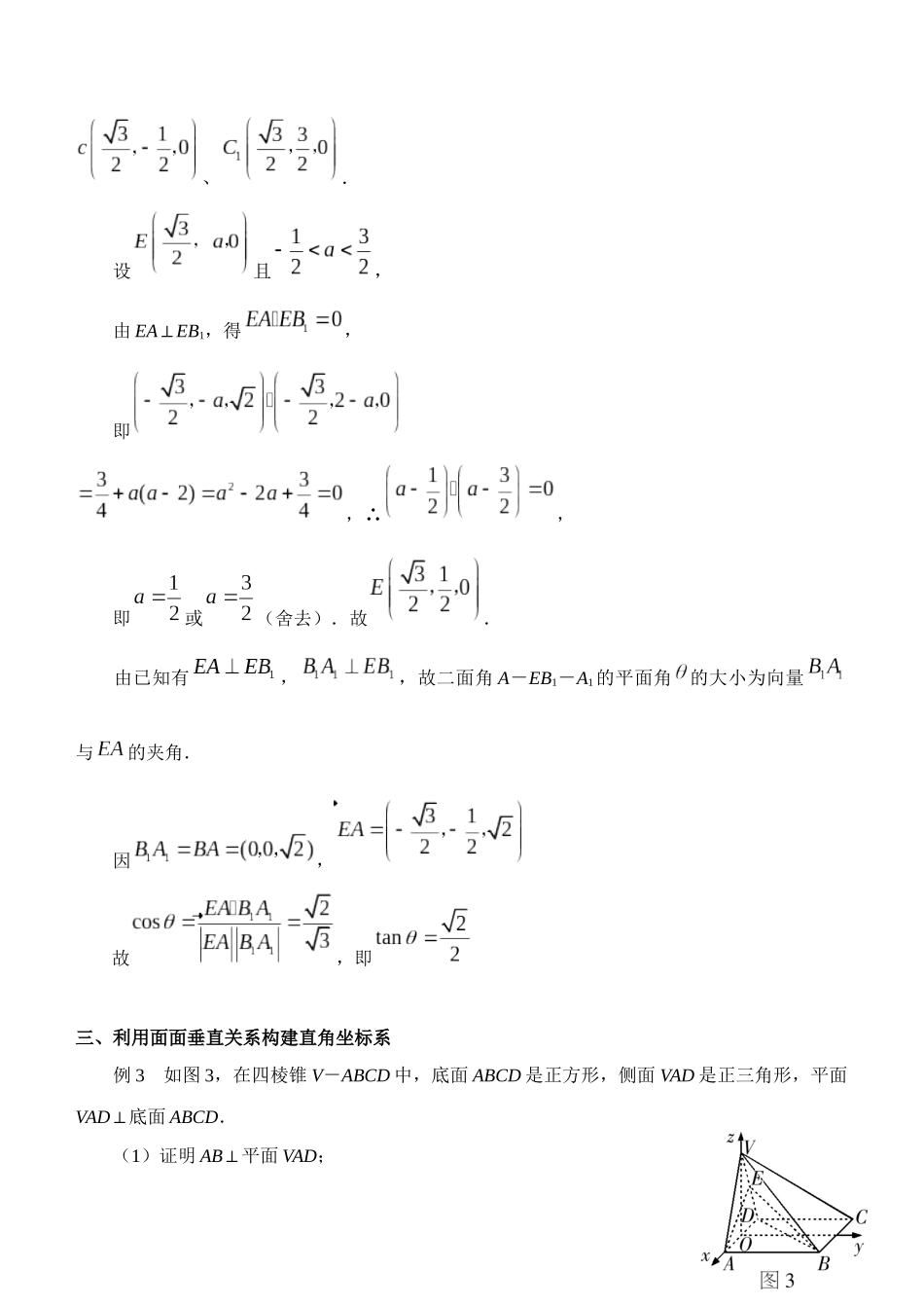
空间向量之建立空间直角坐标系的方法及技巧.一、利用共顶点的互相垂直的三条棱构建直角坐标系例1已知直四棱柱ABCD-A1B1C1D1中,AA1=2,底面ABCD是直角梯形,∠A为直角,AB∥CD,AB=4,AD=2,DC=1,求异面直线BC1与DC所成角的余弦值.解析:如图1,以D为坐标原点,分别以DA、DC、DD1所在直线为x、y、z轴建立空间直角坐标系,则C1(0,1,2)、B(2,4,0),∴,.设与所成的角为,则.二、利用线面垂直关系构建直角坐标系例2如图2,在三棱柱ABC-A1B1C1中,AB⊥侧面BB1C1C,E为棱CC1上异于C、C1的一点,EA⊥EB1.已知,BB1=2,BC=1,∠BCC1=.求二面角A-EB1-A1的平面角的正切值.解析:如图2,以B为原点,分别以BB1、BA所在直线为y轴、z轴,过B点垂直于平面AB1的直线为x轴建立空间直角坐标系.由于BC=1,BB1=2,AB=,∠BCC1=,∴在三棱柱ABC-A1B1C1中,有B(0,0,0)、A(0,0,)、B1(0,2,0)、、.设且,由EA⊥EB1,得,即,∴,即或(舍去).故.由已知有,,故二面角A-EB1-A1的平面角的大小为向量与的夹角.因,故,即三、利用面面垂直关系构建直角坐标系例3如图3,在四棱锥V-ABCD中,底面ABCD是正方形,侧面VAD是正三角形,平面VAD⊥底面ABCD.(1)证明AB⊥平面VAD;(2)求面VAD与面VDB所成的二面角的余弦值.解析:(1)取AD的中点O为原点,建立如图3所示的空间直角坐标系.设AD=2,则A(1,0,0)、D(-1,0,0)、B(1,2,0)、V(0,0,),∴=(0,2,0),=(1,0,-).由,得AB⊥VA.又AB⊥AD,从而AB与平面VAD内两条相交直线VA、AD都垂直,∴AB⊥平面VAD;(2)设E为DV的中点,则∴,,.∴,∴EB⊥DV.又EA⊥DV,因此∠AEB是所求二面角的平面角.∴.故所求二面角的余弦值为.四、利用正棱锥的中心与高所在直线构建直角坐标系例4已知正四棱锥V-ABCD中,E为VC中点,正四棱锥底面边长为2a,高为h.(1)求∠DEB的余弦值;(2)若BE⊥VC,求∠DEB的余弦值.解析:(1)如图4,以V在平面AC的射影O为坐标原点建立空间直角坐标系,其中Ox∥BC,Oy∥AB,则由AB=2a,OV=h,有B(a,a,0)、C(-a,a,0)、D(-a,-a,0)、V(0,0,h)、∴,.∴,即;(2)因为E是VC的中点,又BE⊥VC,所以,即,∴,∴.这时,即.五、利用图形中的对称关系建立坐标系图形中虽没有明显交于一点的三条直线,但有一定对称关系(如正三棱柱、正四棱柱等),利用自身对称性可建立空间直角坐标系.例5已知两个正四棱锥P-ABCD与Q-ABCD的高都为2,AB=4.(1)证明:PQ⊥平面ABCD;(2)求异面直线AQ与PB所成的角;(3)求点P到平面QAD的距离.(2)由题设知,ABCD是正方形,且AC⊥BD.由(1),PQ⊥平面ABCD,故可分别以直线为x,y,z轴建立空间直角坐标系(如图1),易得,.所求异面直线所成的角是.(3)由(2)知,点.设n=(x,y,z)是平面QAD的一个法向量,则得取x=1,得.点P到平面QAD的距离.点评:利用图形所具备的对称性,建立空间直角坐标系后,相关点与向量的坐标应容易得出.第(3)问也可用“等体积法”求距离.

1、当您付费下载文档后,您只拥有了使用权限,并不意味着购买了版权,文档只能用于自身使用,不得用于其他商业用途(如 [转卖]进行直接盈利或[编辑后售卖]进行间接盈利)。
2、本站所有内容均由合作方或网友上传,本站不对文档的完整性、权威性及其观点立场正确性做任何保证或承诺!文档内容仅供研究参考,付费前请自行鉴别。
3、如文档内容存在违规,或者侵犯商业秘密、侵犯著作权等,请点击“违规举报”。

碎片内容

空间向量之建立空间直角坐标系的方法及技巧

文章天下+ 关注
实名认证
内容提供者

各种文档应有尽有

相关文档

确认删除?
VIP
微信客服
  • 扫码咨询
会员Q群
  • 会员专属群点击这里加入QQ群
客服邮箱
回到顶部