电脑桌面
添加小米粒文库到电脑桌面
安装后可以在桌面快捷访问

有机化学综合复习题及解答

有机化学综合复习题及解答_第1页
1/15
有机化学综合复习题及解答_第2页
2/15
有机化学综合复习题及解答_第3页
3/15
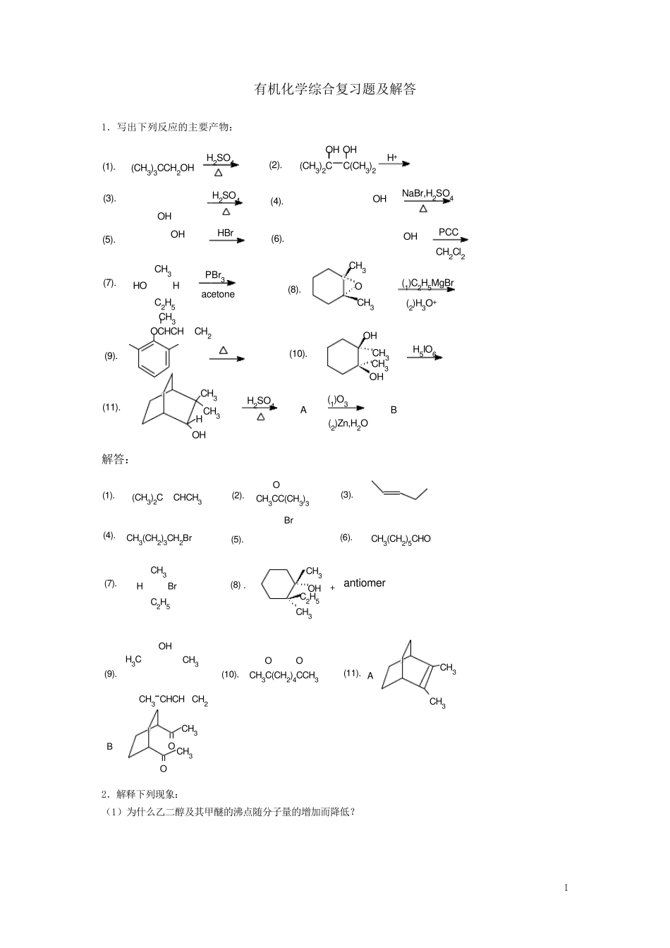
1 有机化学综合复习题及解答 1.写出下列反应的主要产物: (1).(CH3)3CCH2OHH2SO4(2).(CH3)2CC(CH3)2OH OHH+(3).OHH2SO4(4).OHNaBr,H2SO4(5).OHHBr(6).OHPCCCH2Cl2(7).CH3C2H5HOHPBr3acetone(8).OCHCHCH2CH3(9).CH3CH3HOHH2SO4A(1)O3(2)Zn,H2OB(10).OCH3CH3(1)C2H5MgBr(2)H3O+OHOHCH3CH3H5IO6(11). 解答: (CH3)2CCHCH3(1).(2).(3).CH3CC(CH3)3O(4).CH3(CH2)3CH2BrBr(5).(6).CH3(CH2)5CHOHBrCH3C2H5(7).(8)C2H5OHCH3.CH3+ antiomer CH3H3COHCHCH CH2CH3(9).(10).CH3C(CH2)4CCH3OO(11).CH3CH3ABCH3CH3OO 2.解释下列现象: (1)为什么乙二醇及其甲醚的沸点随分子量的增加而降低? 2 CH2OHCH2OHCH2OCH3CH2OCH3CH2OCH3CH2OHb.p.197CCC12584 (2)下列醇的氧化(A)比(B)快? OHOHMnO2MnO2OO(A)(B) (3)在化合物(A)和(B)的椅式构象中,化合物(A)中的-OH 在e 键上,而化合物(B)中的-OH 却处在a 键上,为什么? (A)OH(B)OOOH 解答:2.(1)醇分子中的羟基是高度极化的,能在分子间形成氢键,这样的羟基越多,形成的氢键越多,分子间的作用力越强,沸点越高。甲醚的形成导致形成氢键的能力减弱,从而沸点降低。 (2)从产物看,反应(A)得到的是共轭体系的脂芳酮,而(B)没有这样的共轭体系。另外,新制的MnO2 特别适用于烯丙醇或苄醇氧化为醛酮,这可能与其机理和产物的稳定性有关。 (3)分子(A)不能形成氢键,羟基处于平伏键最稳定。分子(B)由于含氧原子,羟基可以采用形成氢键的构象使分子稳定,只有羟基在直立键上,羟基才可能与氧原子形成氢键。 OHOOOH(A)(B) 3.下列邻二醇类化合物能否用高碘酸氧化,为什么?若能,写出反应的产物。 CH3CH3OHOHCH3HOOHOHOHOHOH(1)(2)(3)(4) 解答:高碘酸氧化邻二醇类化合物是可能是通过环状高碘酸酯进行的,二羟基必须处于顺式才能满足氧化反应的立体化学要求。因此(2)和(3)不能被高碘酸氧化,(1)和(4)的氧化产物如下: OOOO(1)(4) 4.写出下列化合物在酸催化下的重排产物,并写出(1)在酸催化下的重排反应机理。 (1).(2).(3).C(C6H5)2OH OH(C6H5)2CC(CH3)2OH OHOH OH 解答:该重排反应即是频哪醇重排,反应机理为:羟基质子化;脱水生成碳正离 子;重排;失 去 质子得到酮。本 题 的关键点在于要考 虑 脱去 哪一 个 羟基能生成较 稳定的碳正离 子。 (1)的反应机理为: 3 C(C6H5)2OH OHH+C(C6H5)2OH OH2H2OC(C6H5)2OHC6H5C6H5...

1、当您付费下载文档后,您只拥有了使用权限,并不意味着购买了版权,文档只能用于自身使用,不得用于其他商业用途(如 [转卖]进行直接盈利或[编辑后售卖]进行间接盈利)。
2、本站所有内容均由合作方或网友上传,本站不对文档的完整性、权威性及其观点立场正确性做任何保证或承诺!文档内容仅供研究参考,付费前请自行鉴别。
3、如文档内容存在违规,或者侵犯商业秘密、侵犯著作权等,请点击“违规举报”。

碎片内容

有机化学综合复习题及解答

您可能关注的文档

确认删除?
VIP
微信客服
  • 扫码咨询
会员Q群
  • 会员专属群点击这里加入QQ群
客服邮箱
回到顶部