电脑桌面
添加小米粒文库到电脑桌面
安装后可以在桌面快捷访问

机械工程测试技术基础熊诗波课后习题答案

机械工程测试技术基础熊诗波课后习题答案_第1页
1/29
机械工程测试技术基础熊诗波课后习题答案_第2页
2/29
机械工程测试技术基础熊诗波课后习题答案_第3页
3/29
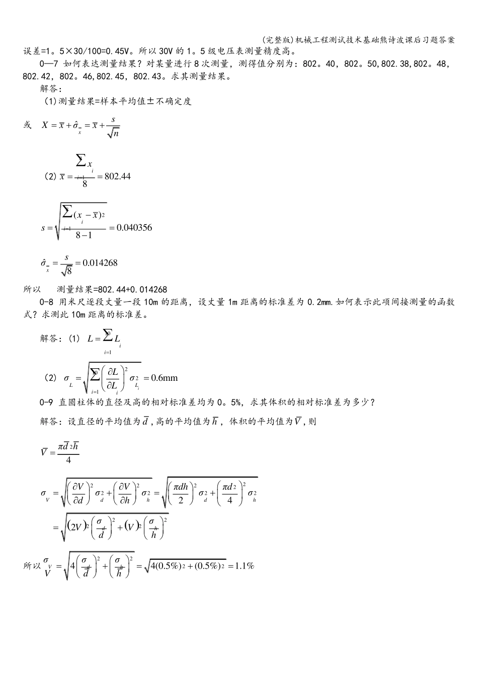
(完 整 版 )机 械 工 程 测 试 技 术 基 础 熊 诗 波 课 后 习 题 答 案 《 机械工程测试技术基础 》 -第 三 版 — 熊 诗 波 等 著 绪 论 0-1 叙 述 我 国 法 定 计 量 单 位 的 基 本 内 容 。 解 答 : 教 材 P4~5, 二 、 法 定 计 量 单 位 。 0-2 如 何 保 证 量 值 的 准 确 和 一 致 ? 解 答 :( 参 考 教 材 P4~ 6,二 、 法 定 计 量 单 位 ~ 五 、 量 值 的 传 递 和 计 量 器 具 检 定 ) 1、 对 计 量 单 位 做 出 严 格 的 定 义 ; 2、 有 保 存 、 复 现 和 传 递 单 位 的 一 整 套 制 度 和 设 备 ; 3、 必 须 保 存 有 基 准 计 量 器 具 , 包 括 国 家 基 准 、 副 基 准 、 工 作 基 准 等 。 3、 必 须 按 检 定 规 程 对 计 量 器 具 实 施 检 定 或 校 准 , 将 国 家 级 准 所 复 现 的 计 量 单 位 量 值 经 过 各 级 计 算 标 准 传递 到 工 作 计 量 器 具 . 0-3 何 谓 测 量 误 差 ? 通 常 测 量 误 差 是 如 何 分 类 表 示 的 ? 解 答 :( 教 材 P8~ 10, 八 、 测 量 误 差 ) 0— 4 请 将 下 列 诸 测 量 结 果 中的 绝对 误 差 改写为相对 误 差 。 ①1.0182544V±7.8μV ②(25.04894±0.00003)g ③(5.482±0.026)g/cm2 解 答 : ①-667 .81 0/1 .0 1 8 2 5 4 47 .6 6 0 1 6 8 2 /1 0  ②60 .0 0 0 0 3 /2 5 .0 4 8 9 41 .1 9 7 6 5 5 /1 0  ③0 .0 2 6 /5 .4 8 24 .7 4 3‰ 0— 5 何 谓 测 量 不确 定 度 ?国 际计 量 局于1980 年提出 的 建议《实 验不确 定 度 的 规 定 建议书INC-1(1980)》的 要点是 什么? 解 答 : ( 1) 测 量 不确 定 度 是 表 征被测 量 值 的 真值 在所 处量 值 范 围 的 一 个 估 计 , 亦 即 由 于测 量 误 差 的 存 在而 对 被测 量 值 不能 肯 定 的 程 度 。 ( 2) 要点: 见 教 材 P11。 0— 6 为什么选 用 电 表 时 , 不但 要考 虑 它 的 准 确 度 , 而 且 要考 ...

1、当您付费下载文档后,您只拥有了使用权限,并不意味着购买了版权,文档只能用于自身使用,不得用于其他商业用途(如 [转卖]进行直接盈利或[编辑后售卖]进行间接盈利)。
2、本站所有内容均由合作方或网友上传,本站不对文档的完整性、权威性及其观点立场正确性做任何保证或承诺!文档内容仅供研究参考,付费前请自行鉴别。
3、如文档内容存在违规,或者侵犯商业秘密、侵犯著作权等,请点击“违规举报”。

碎片内容

机械工程测试技术基础熊诗波课后习题答案

确认删除?
VIP
微信客服
  • 扫码咨询
会员Q群
  • 会员专属群点击这里加入QQ群
客服邮箱
回到顶部