电脑桌面
添加小米粒文库到电脑桌面
安装后可以在桌面快捷访问

电机学课后习题答案

电机学课后习题答案_第1页
1/9
电机学课后习题答案_第2页
2/9
电机学课后习题答案_第3页
3/9
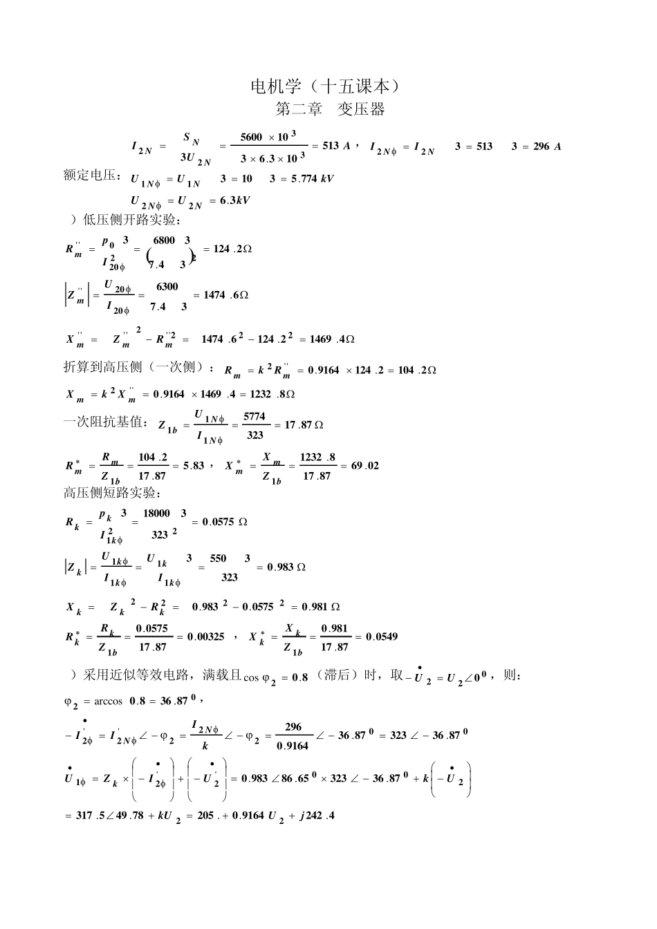
电机学(十五课本) 第二章 变压器 AUSINNN5131036310560033322.,AIINN2963513322 额定电压:kVUUNN7745310311. kVUUNN3622. 1)低压侧开路实验: 212434736800322200..''IpR m 6147434763002020..''IUZ m 414692124614742222...''''''mmmRZX 折算到高压侧(一次侧):21042124916402...''mmRkR 8123241469916402...''mmXkX 一次阻抗基值:87173235774111.NNbIUZ 835871721041...bmmZRR,02698717812321...bmmZXX 高压侧短路实验: 057503233180003221.kkkIpR 9830323355031111.kkkkkIUIUZ 98100575098302222...kkkRZX 0032508717057501...bkkZRR,05490871798101...bkkZXX 2)采用近似等效电路,满载且802.cos(滞后)时,取0220UU,则: 02873680..arccos, 00222228736323873691640296...''kIIINN 4242916402057849531787363236586983022200221........''jUkUUkUIZUk 若111UU,则:222214242205.kUU ,而VUUN577411 从而:VU60732 ,0206073 U, 01426073916402420569242....arctan,VU4257741. AZUImm768291531785614744257741....., AIIIIm0021146376326873632376829153.....' 3)电压调整率: %.%.%%'56310057746073916405774100577457741002121kUUUUUNN 或 %.%....%sincos%sincos%''''554310060054908000325010010010022212222121kkNkkNNXRIUXIRIUUUU 输出功率:kWSPN448080560022.cos  输入功率:kWppPPFecu845048618448021.. 额定效率:%.%.%459910084504448010012PP 第三章 直流电机 3-11一台他励发电机的转速提高20%,空载电压会提高多少(设励磁电流保持不变)?若为并励发电机,则电压升高的百分值比他励发电机多还是少(设励磁电阻不变)? 解:他励发电机...

1、当您付费下载文档后,您只拥有了使用权限,并不意味着购买了版权,文档只能用于自身使用,不得用于其他商业用途(如 [转卖]进行直接盈利或[编辑后售卖]进行间接盈利)。
2、本站所有内容均由合作方或网友上传,本站不对文档的完整性、权威性及其观点立场正确性做任何保证或承诺!文档内容仅供研究参考,付费前请自行鉴别。
3、如文档内容存在违规,或者侵犯商业秘密、侵犯著作权等,请点击“违规举报”。

碎片内容

电机学课后习题答案

确认删除?
VIP
微信客服
  • 扫码咨询
会员Q群
  • 会员专属群点击这里加入QQ群
客服邮箱
回到顶部