电脑桌面
添加小米粒文库到电脑桌面
安装后可以在桌面快捷访问

医用高等数学题库VIP免费

医用高等数学题库_第1页
1/37
医用高等数学题库_第2页
2/37
医用高等数学题库_第3页
3/37
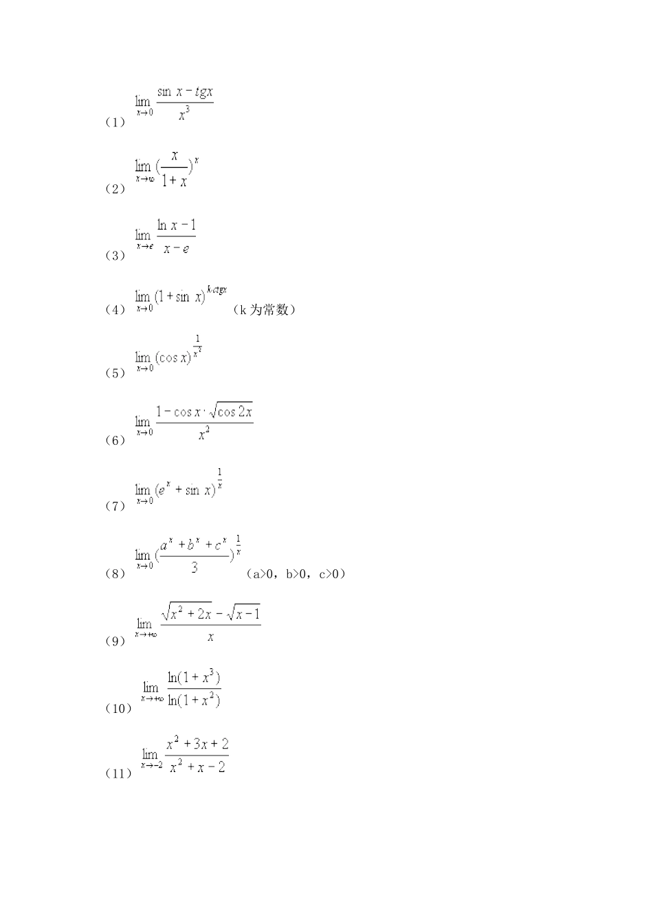
医用高等数学题库第一章函数与极限1.设,求,并作出函数的图形。2.设,,求,并作出这两个函数的图形。3.设,求。4.试证下列函数在指定区间内的单调性:(1)(2)5.下列函数中哪些是是周期函数?对于周期函数,指出其周期:(1)(2)6.设。试求下列复合函数,并指出x的取值范围。7.已知对一切实数x均有,且f(x)为单调增函数,试证:8.计算下列极限:(1)(2)(3)9.(1)设,求常数a,b。(2)已知,求a,b。10.计算下列极限:(1)(2)(x为不等于零的常数)(3)(4)(5)(k为正整数)11.计算下列极限:(1)(2)(3)(4)(k为常数)(5)(6)(7)(8)(a>0,b>0,c>0)(9)(10)(11)(12)(13)(14)(15)(16)(17)(18)(19)(20)(21)(22)(23)(24)12.当时,无穷小1-x和(1)(2)是否同阶?是否等价?13.证明:当时,有(1)(2)14.利用等价无穷小的性质求下列极限:(1)(n,m为正整数)(2)15.试确定常数a,使下列各函数的极限存在:(1)(2)16.讨论下列函数的连续性:(1)的连续性(2)在x=0处的连续性17.设函数在[0,2a]上连续,,试证方程在[0,a]内至少存在一个实根。18.设函数在开区间(a,b)内连续,,试证:在开区间(a,b)内至少有一点c,使得(其中)。第二章导数与微分1.讨论下列函数在x=0处的连续性与可导性:(1)(2)2.设存在,求3.设,问a,b为何值时,在x=0处可导?4.已知,求及,并问:是否存在?5.证明:双曲线上任一点处的切线与两坐标轴构成的三角形的面积都等于。6.问当系数a为何值时,抛物线与曲线相切?7.求下列各函数的导数:(1)(2)(3)(4)(5)(6)(7)(8)(a>0)(9)(10)(11)(12)(13)(14)(15)(16)(17)(18)(19)(20)(21)(22)(23)(24)8.求曲线在点处的切线方程和法线方程。9.用对数求导法求下列函数的导数:(1)(2)(3)(4)(5)10.求下列隐函数的导数:(1)(2),求(3)(4)(5)11.求下列函数的n阶导数:(1)(2)(3)12.已知函数,求。13.若存在,求下列函数y的二阶导数:(1)(2)14.求由下列方程所确定的隐函数y的二阶导数:(1)(2)15.求下列函数的微分:(1)(2)(3)16.计算下列各式的近似值:(1)(2)17.求极限:(1)(2)(3)(4)(5)(6)(7)(8)(9)(10)(11)(12)(13)18.确定下列函数的单调区间:(1)(2)(3)(a>0)(4)19.求下列函数的极值:(1)(2)(3)(4)(5)(6)20.求下列函数图形的拐点及凹凸区间:(1)(2)(3)21.描绘下列函数的图形:(1)(2)(3)(4)22.要造一圆柱形油罐,体积为V,问底半径r和高h等于多少时,才能使表面积最小?这时直径与高的比是多少?23.一火车的锅炉每小时的耗煤费用与速度的立方成正比。已知当速度为每小时20公里时,每小时耗费的煤价为40元。至于其他费用每小时需200元。问当火车行驶的速度为多少时才能使火车从甲地到乙地的总费用最省?第三章不定积分1.求下列不定积分:(1)(2)(3)(4)(5)(6)2.设有一曲线,在其上任一点处的切线斜率为,并知此曲线通过点(3,2),求曲线的方程。3.设有一通过原点的曲线,在其上任一点处切线斜率为,其中a为常数,且知其拐点的横坐标为,求曲线的方程。4.求下列不定积分:(1)(2)(为常数)(3)(4)(5)(6)(7)(8)(9)(10)(11)(12)(13)(14)(15)(16)(17)(18)(19)(20)(21)(22)5.求下列各不定积分:(1)(2)(3)(4)(5)(6)(7)(8)6.证明下列各式:(1)(2)(3)(4)7.求下列各不定积分:(1)(2)(3)(4)(5)(6)(7)(8)(9)(10)与8.求下列各有理函数的积分:(1)(2)(3)(4)(5)(6)(7)(8)9.设是连续函数,求。10.如果的一个原函数是,证明:。11.求12.试确定常数A,B,使下式成立:第四章定积分及其应用1.比较下列各对积分的大小:(1)(2)(3)(4)(5)2.证明不等式:3.设(x>0),求4.(1)设,求(2)设,其中连续,求5.设,求6.设,求7.计算下列极限:(1)(2...

1、当您付费下载文档后,您只拥有了使用权限,并不意味着购买了版权,文档只能用于自身使用,不得用于其他商业用途(如 [转卖]进行直接盈利或[编辑后售卖]进行间接盈利)。
2、本站所有内容均由合作方或网友上传,本站不对文档的完整性、权威性及其观点立场正确性做任何保证或承诺!文档内容仅供研究参考,付费前请自行鉴别。
3、如文档内容存在违规,或者侵犯商业秘密、侵犯著作权等,请点击“违规举报”。

碎片内容

医用高等数学题库

您可能关注的文档

确认删除?
VIP
微信客服
  • 扫码咨询
会员Q群
  • 会员专属群点击这里加入QQ群
客服邮箱
回到顶部