电脑桌面
添加小米粒文库到电脑桌面
安装后可以在桌面快捷访问

苏教版七年级数学上册第二章有理数单元测试及答案

苏教版七年级数学上册第二章有理数单元测试及答案_第1页
1/7
苏教版七年级数学上册第二章有理数单元测试及答案_第2页
2/7
苏教版七年级数学上册第二章有理数单元测试及答案_第3页
3/7
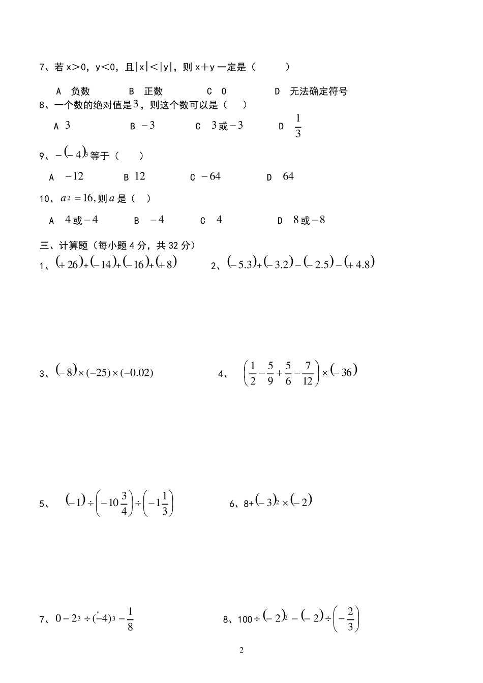
1 七年级数学第二章有理数单元测试 姓名 得分 1、52的绝对值是 ,52的相反数是 ,52的倒数是 . 2、某水库的水位下降 1 米,记作 -1 米,那么 +1.2 米表示 . 3、数轴上表示有理数-3.5 与 4.5 两点的距离是 . 4、已知|a-3|+24)(b=0,则2 0 0 3)(ba = . 5、已知 p 是数轴上的一点4,把 p 点向左移动3 个单位后再向右移1 个单位长度,那么 p 点表示的数是______________。 6、最大的负整数与最小的正整数的和是_________ 。 7、 12 0 0 3 + 2 0 0 41= 。 8、若 x、y 是两个负数,且 x<y,那么|x| |y| 9、若|a|+a=0,则 a 的取值范围是 10、若|a|+|b|=0,则 a= ,b= 二、精心选一选:(每小题 3 分,共 24 分.请将你的选择答案填在下表中.) 题号 1 2 3 4 5 6 7 8 9 10 答案 1、如果一个数的平方与这个数的差等于 0,那么这个数只能是( ) A 0 B -1 C 1 D 0 或 1 2、绝对值大于或等于 1,而小于 4 的所有的正整数的和是( ) A 8 B 7 C 6 D 5 3、计算:(-2)100+(-2)101的是( ) A 2100 B -1 C -2 D -2100 4、两个负数的和一定是( ) A 负 B 非正数 C 非负数 D 正数 5、已知数轴上表示-2 和-101 的两个点分别为 A,B,那么 A,B 两点间的距离等于( ) A 99 B 100 C 102 D 103 6、31的相反数是( ) A -3 B 3 C 31 D 31 2 7、若 x>0,y<0,且|x|<|y|,则 x+y 一定是( ) A 负数 B 正数 C 0 D 无法确定符号 8、一个数的绝对值是3 ,则这个数可以是( ) A 3 B 3 C 3 或3 D 31 9、 34等于( ) A 1 2 B 1 2 C 6 4 D 6 4 10、,1 62 a则 a 是( ) A 4 或4 B 4 C 4 D 8 或8 三、计算题(每小题 4 分,共 32 分) 1、2 6+1 4+1 6+8 2、3.5+2.35.28.4 3、8)0 2.0()2 5( 4、 1 276595213 6 5、  1311431 0 6、8+232 7、81)4(2033 8、100 22232 3 四、(5 分) m =2 , n =3 ,求 m+n 的值 五、(5 分)已知a...

1、当您付费下载文档后,您只拥有了使用权限,并不意味着购买了版权,文档只能用于自身使用,不得用于其他商业用途(如 [转卖]进行直接盈利或[编辑后售卖]进行间接盈利)。
2、本站所有内容均由合作方或网友上传,本站不对文档的完整性、权威性及其观点立场正确性做任何保证或承诺!文档内容仅供研究参考,付费前请自行鉴别。
3、如文档内容存在违规,或者侵犯商业秘密、侵犯著作权等,请点击“违规举报”。

碎片内容

苏教版七年级数学上册第二章有理数单元测试及答案

您可能关注的文档

小辰+ 关注
实名认证
内容提供者

出售各种文档和资料

确认删除?
VIP
微信客服
  • 扫码咨询
会员Q群
  • 会员专属群点击这里加入QQ群
客服邮箱
回到顶部