电脑桌面
添加小米粒文库到电脑桌面
安装后可以在桌面快捷访问

幼儿园各类安全处理流程图参考

幼儿园各类安全处理流程图参考_第1页
1/8
幼儿园各类安全处理流程图参考_第2页
2/8
幼儿园各类安全处理流程图参考_第3页
3/8
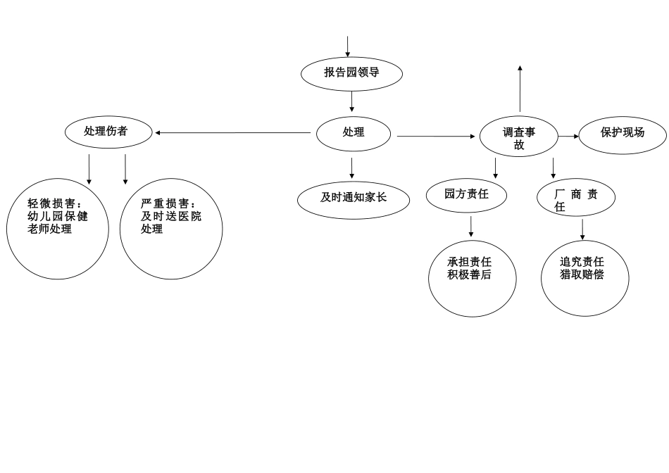
幼 儿 园 大 型 玩 具 维 护 流 程 图幼 儿 园 玩 具 卫 生 危 机 处 理 流 程 图图 3—2 幼 儿 园 大 型 玩 具 危 机 应 急 处 理 流 程 图检查维护检测停止使用检查产品技术档案是否齐全,日常管理措施是否完善。检查经过一个使用周期后产品在结构方面是否产生不安全因素,强度是否下降,对已损坏的构件,应及时更换。对表面锈蚀的金属件,应去锈重新上保护涂料,其他结构件也应进行相应的表面维护。合格后继续使用。未及时保养暂停使用。已过保养期强制报废。玩具卫生危机调查卫生污染源处理被损害人员自制玩具回收玩具环境卫生新购玩具在用玩具调查玩具来源,及时清除污染或退还玩具。对玩具进行质量鉴定,收集证据,联系相关部门,追究厂家责任。玩具清洗与消毒。检查制作过程,重新制作,消除污染或停止使用该玩具环境创建,消除污染。危机处理危机发生园方无责:沟通家长、协助处理报告园领导保护现场调查事故处理及时通知家长处理伤者严重损害:及时送医院处理轻微损害:幼儿园保健老师处理园方责任厂 商 责任承担责任积极善后追究责任猎取赔偿幼 儿 园 园 外 活 动 危 机 预 防 与 应 急 处 理 流 程 图否:不参加该活动是否签订协议是否有预案通知家长、有关部门全程监控是否详细考察组织方是否适合幼儿是:参加该活动与组织方交涉处理索赔善后督促组织方施救意外发生发现隐患顺利开展终止活动及时施救园方自行施救幼儿园传染病应急处理流程图常规检查发现报告保 健 院 ( 医院)疾控中心教育主管部门观察其他幼儿消 毒 用 品 、 场所通知家长园领导保健老师隔离患者治疗返园幼儿园非法侵害应急处理流程图非法侵害发生遏制处理解决配合警方减少损害报警报告保护现场成立应急小组疏散老 师 惩 处 不 当 危 机 管 理 流 程 图发现老师有惩处不当行为立即阻止,迅速调查取证分析推断行为性质与后果客观面对媒体,消除不良影响给幼儿造成身心损害行为已触犯法律通知司法机构并协助调查联系医院、家长协同处理家庭心理安慰学校心理辅导医院伤痛治疗善后赔偿,处分当事人事件评估此类事件预控幼儿园食品中毒应急处理流程图集体食堂食物中毒的预防及控制流程图食物中毒报告抢救幼儿保护现场中 毒物 品处 理危机管理小组反映情况恢复工作中毒食品食品容具病人排泄物等教育主管部门医院卫生监督部门报告内容发生中毒的单位、地址、时间、中毒人数及死亡人...

1、当您付费下载文档后,您只拥有了使用权限,并不意味着购买了版权,文档只能用于自身使用,不得用于其他商业用途(如 [转卖]进行直接盈利或[编辑后售卖]进行间接盈利)。
2、本站所有内容均由合作方或网友上传,本站不对文档的完整性、权威性及其观点立场正确性做任何保证或承诺!文档内容仅供研究参考,付费前请自行鉴别。
3、如文档内容存在违规,或者侵犯商业秘密、侵犯著作权等,请点击“违规举报”。

碎片内容

幼儿园各类安全处理流程图参考

您可能关注的文档

确认删除?
VIP
微信客服
  • 扫码咨询
会员Q群
  • 会员专属群点击这里加入QQ群
客服邮箱
回到顶部