电脑桌面
添加小米粒文库到电脑桌面
安装后可以在桌面快捷访问

考点21-求和方法练习(解析版)

考点21-求和方法练习(解析版)_第1页
1/18
考点21-求和方法练习(解析版)_第2页
2/18
考点21-求和方法练习(解析版)_第3页
3/18
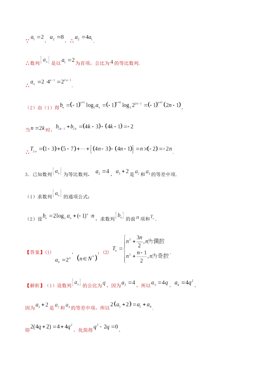
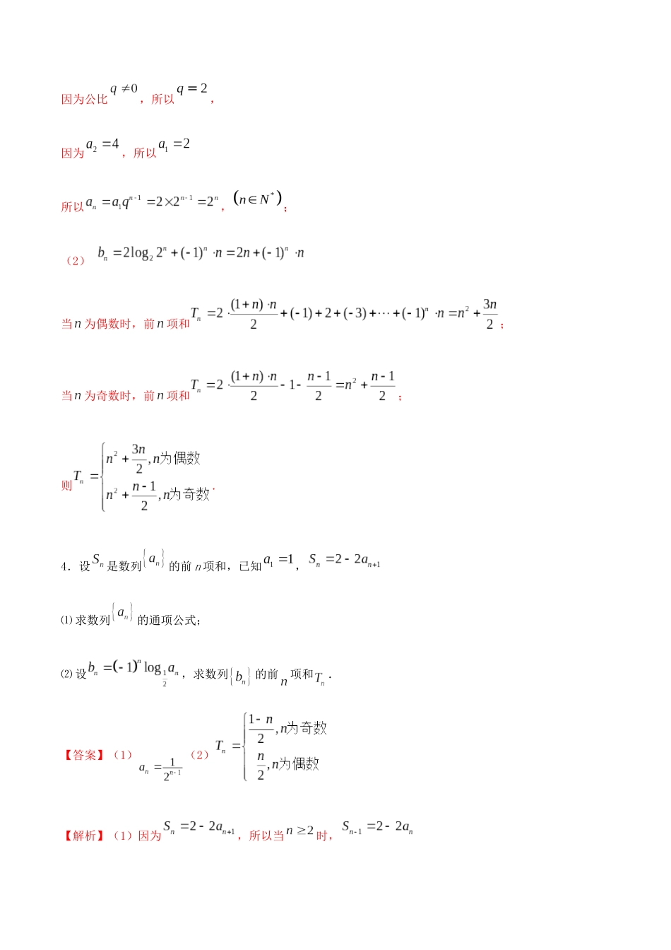
考点 21 求和方法(第二课时)【题组一 奇偶并项求和】1.在等差数列中,. (1)求数列的通项公式; (2)设,求数列的前项和.【答案】(1);(2).【解析】(1), , (2) .2.设数列的前项和为,已知, .(1)求数列的通项公式;(2)若,求数列的前项和。【答案】(1) .(2) .【解析】(1) 当时, ,∴. ∴. ,,∴. ∴数列是以为首项,公比为的等比数列. ∴. (2)由(1)得, 当时, ∴.3.已知数列为等比数列, ,是和的等差中项.(1)求数列的通项公式;(2)设,求数列的前项和.【答案】(1) ,;(2) .【解析】(1)设数列的公比为,因为,所以,,因为是和的等差中项,所以.即,化简得,因为公比,所以,因为,所以所以,;(2) 当为偶数时,前项和;当为奇数时,前项和;则.4.设是数列的前 n 项和,已知,⑴ 求数列的通项公式; ⑵ 设,求数列的前项和.【答案】(1)(2)【解析】(1)因为,所以当时,两式相减得, 所以当时,,,则所以数列为首项为 ,公比为的等比数列, 故(2)由(1)可得所以故当为奇数时, 当为偶数时,综上【题组二 倒序相加法】1 . 设, 根 据 课 本 中 推 导 等 差 数 列 前项 和 的 方 法 可 以 求 得的值是 。【答案】【解析】令 ①则 ②①② 可得:2.定义在上的函数,,,则______.【答案】【解析】函数,,可得,即有:,又,可得:,,即有.故答案为:.3.已知函数,满足(,均为正实数),则的最小值为_____________【答案】【解析】,,,两式相加得:,,,故答案为:.4.设函数,利用课本中推导等差数列前项和公式的方法,可求得_______________.【答案】【解析】 f(x)=,∴f(x)+f(1-x)=+=,∴由倒序相加求和法可知 f(-5)+f(-4)+…+f(0)+…+f(5)+f(6)=5.已知为等比数列,且,若,则_______【答案】2024【解析】因为, 同理,,….则故答案为:20246.设,则__________.【答案】1008【解析】 函数,∴,∴,故答案为 1008.【题组三 其他方法求和】1.已知函数,方程在上的解按从小到大的顺序排成数列().(1)求数列的通项公式;(2)设,求数列的前项和.【答案】(1) ;(2) .【解析】(1) ,解得,,, ,依题意,,.(2)是周期的数列 ,,,, ,,,, ,从而,,……,所以是周期为 4 的数列,().2.已知数列的各项均为正数,且,对于任意的,均有,.(1)求证:是等比数列,并求出的通项公式...

1、当您付费下载文档后,您只拥有了使用权限,并不意味着购买了版权,文档只能用于自身使用,不得用于其他商业用途(如 [转卖]进行直接盈利或[编辑后售卖]进行间接盈利)。
2、本站所有内容均由合作方或网友上传,本站不对文档的完整性、权威性及其观点立场正确性做任何保证或承诺!文档内容仅供研究参考,付费前请自行鉴别。
3、如文档内容存在违规,或者侵犯商业秘密、侵犯著作权等,请点击“违规举报”。

碎片内容

考点21-求和方法练习(解析版)

雏圣文化+ 关注
实名认证
内容提供者

欢迎光临,大量办公文档供您挑选。

相关文档

确认删除?
VIP
微信客服
  • 扫码咨询
会员Q群
  • 会员专属群点击这里加入QQ群
客服邮箱
回到顶部