电脑桌面
添加小米粒文库到电脑桌面
安装后可以在桌面快捷访问

情形一:积分区域关于坐标轴对称测试题

情形一:积分区域关于坐标轴对称测试题_第1页
1/5
情形一:积分区域关于坐标轴对称测试题_第2页
2/5
情形一:积分区域关于坐标轴对称测试题_第3页
3/5
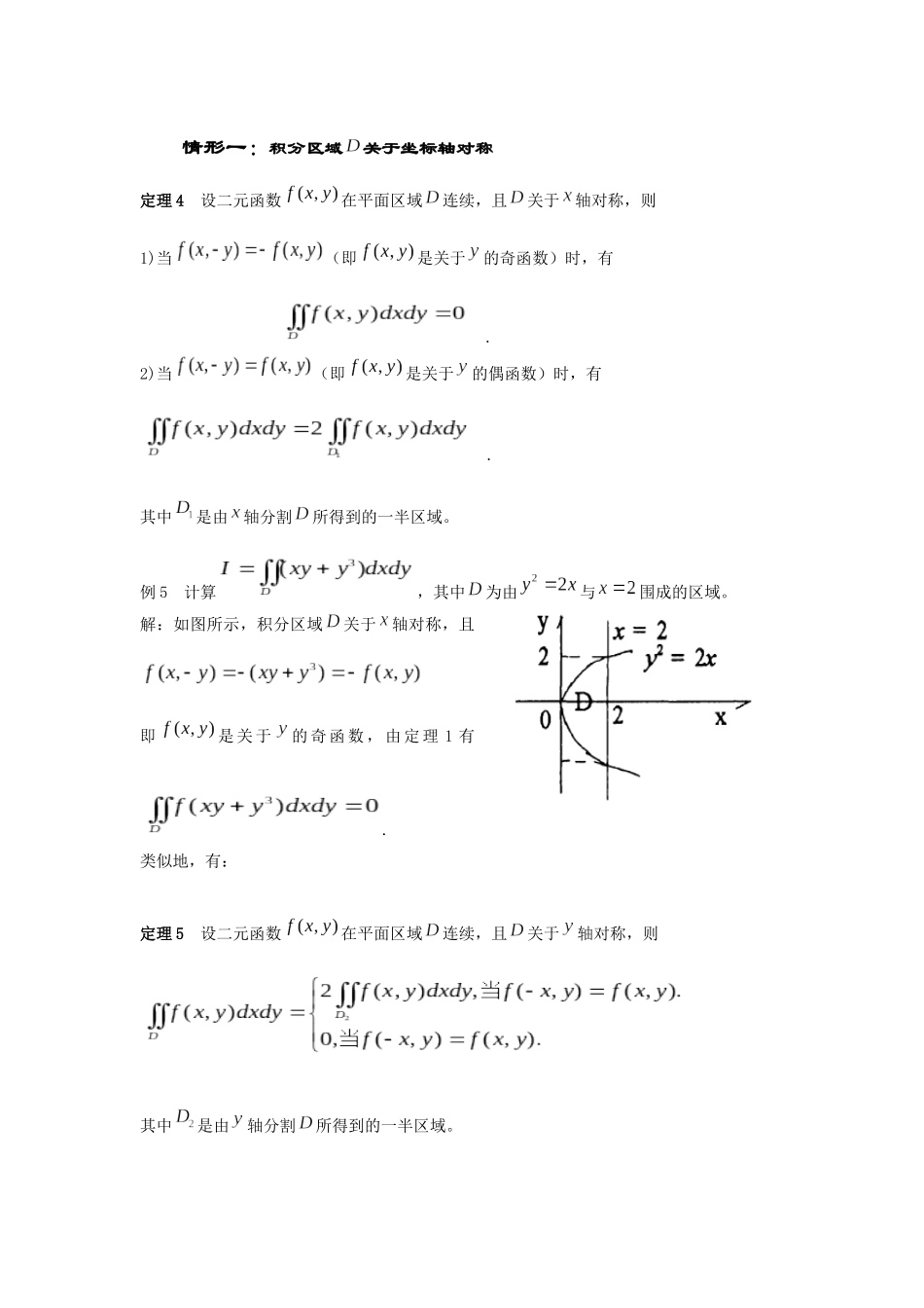
情形一:积分区域关于坐标轴对称定理 4 设二元函数在平面区域连续,且关于轴对称,则1)当(即是关于的奇函数)时,有 .2)当(即是关于的偶函数)时,有 . 其中是由轴分割所得到的一半区域。例 5 计算,其中为由与围成的区域。解:如图所示,积分区域关于轴对称,且即是关于的奇函数,由定理 1 有.类似地,有:定理 5 设二元函数在平面区域连续,且关于轴对称,则其中是由轴分割所得到的一半区域。例6 计 算其 中为 由所围。解 : 如 图 所 示 ,关 于轴 对 称 , 并 且,即被积分函数是关于轴的偶函数,由对称性定理结论有:.定理 6 设二元函数在平面区域连续,且关于轴和轴都对称,则(1)当或时,有 .(2)当时,有其中为由轴和轴分割所的到的 1/4 区域。9 例 7 计算二重积分,其中: .解:如图所示,关于轴和轴均对称,且被积分函数关于和是偶函数,即有,由定理 2,得其 中是的 第 一 象 限 部 分 , 由 对 称 性 知 ,,故.情形二、积分区域关于原点对称定理 7 设平面区域,且关于原点对称,则当上连续函数满足1)时,有2)时,有. 例 8 计算二重积分,为与所围区域.解:如图所示,区域关于原点对称,对于被积函数,有,有定理 7,得.情形三、积分区域关于直线对称定理 8 设二元函数在平面区域连续,且,关于直线对称,则1); .2)当时,有.3)当时,有.例 9 求,为所围.解:积分区域关于直线对称,由定理 8,得,故 .类似地,可得:定理 9 设二元函数在平面区域连续,且,关于直线对称,则 (1)当,则有;(2)当,则有.例 10 计算,其中为区域:, .解:如图所示,积分区域关于直线对称,且满足,由以上性质,得:.注:在进行二重积分计算时,善于观察被积函数的积分区域的特点,注意兼顾被积函数的奇偶性和积分区域的对称性,恰当地利用对称方法解题,可以避免繁琐计算,使二重积分的解答大大简化。

1、当您付费下载文档后,您只拥有了使用权限,并不意味着购买了版权,文档只能用于自身使用,不得用于其他商业用途(如 [转卖]进行直接盈利或[编辑后售卖]进行间接盈利)。
2、本站所有内容均由合作方或网友上传,本站不对文档的完整性、权威性及其观点立场正确性做任何保证或承诺!文档内容仅供研究参考,付费前请自行鉴别。
3、如文档内容存在违规,或者侵犯商业秘密、侵犯著作权等,请点击“违规举报”。

碎片内容

情形一:积分区域关于坐标轴对称测试题

您可能关注的文档

文章天下+ 关注
实名认证
内容提供者

各种文档应有尽有

确认删除?
VIP
微信客服
  • 扫码咨询
会员Q群
  • 会员专属群点击这里加入QQ群
客服邮箱
回到顶部