电脑桌面
添加小米粒文库到电脑桌面
安装后可以在桌面快捷访问

专升本高等数学综合练习题参考答案VIP专享VIP免费

专升本高等数学综合练习题参考答案_第1页
1/16
专升本高等数学综合练习题参考答案_第2页
2/16
专升本高等数学综合练习题参考答案_第3页
3/16
专升本高等数学综合练习题参考答案1.B2.C3.C4.B在偶次根式中,被开方式必须大于等于零,所以有且,解得,即定义域为.5.A由奇偶性定义,因为,所以是奇函数.6.解:令,则,所以,故选D7.解:选D8.解:选D9.解:选B10.解:选C11.解:,所以,故选B12.解:选C13.解:选B14.解:选B15.解:选B16.解:的定义域为,选D17.解:根据奇函数的定义知选C18.解:选C19.解:选C20.解:因为函数互为反函数,故它们的图形关于直线轴对称,选C21.A22.D23.解:这是型未定式,故选B.24.解:这是型未定式故选D.25.解:因为所以,得,所以,故选A26.解:选B27.解:选D28.解:因为,故选B29.解:故选A30.解:因为所以,得,,所以,故选B31.解:,选A32.解:因为,所以不存在,故选D33.解:,选D34.解:极限,选C35.解:,选A36.解:选B37.解:,选B38.解:选A39.解:选D40.解:,,选B41.解:,选C42.解:根据无穷小量的定义知:以零为极限的函数是无穷小量,故选C43.解:因为,故选C44.解:因为,故选B45.解:因为,故选C46.解:因为,故选C47.解:因为,所以,故选A48.解:因为,故选D49.解:由书中定理知选C50.解:因为,故选C51.解:因为,选B52.解:选A53.解:,选C54.解:因为,选A55.解:选A56.解:,选C57.解:选C58.解:选D59.解:根据连续的定义知选B60.C61.解:选A62.解:选A63.解:,,选B64.解:选A65.解:因为,,选A66.解:因为,又,所以在点连续,但,所以在点不可导,选C67.解:选C68.解:因为,又,所以在点不连续,从而在处不可导,但当时,极限存在,选B69.解:选B70.解:,选A71.解:,选A72.解:选C73.解:因为,故选B74.解:选D75.解:因为,曲线既有水平渐近线,又有垂直渐近线,选C76.解:因为,所以有水平渐近线,但无铅直渐近线,选A77.D78.C解:,.选C.79.C解:,所以,故选C.80.解:,选C81.解:,选B82.解:因为=,故选A83.解:,故选B84.解:因为=,故选C85.解:因为,故选B86.解:因为,故选D87.解:,选C88.解:选B89.解:,所以,选B90.解:,选C91.解:,选B92.解:,选D93.解:选D94.解:,选D95.解:选C96.解:,选A97.C98.A99.B100.A101.C102.B103.C104.解:.令,则.当时,当时,因此在上单调递增,在上单调递减.答案选C.105.解:根据求函数极值的步骤,(1)关于求导,(2)令,求得驻点(3)求二阶导数(4)因为,由函数取极值的第二种充分条件知为极小值.(5)因为,所以必须用函数取极值的第一种充分条件判别,但在左右附近处,不改变符号,所以不是极值.答案选A.106.,曲线在点(0,1)处的切线方程为,选A107.解:函数的图形在点处的切线为,令,得,选A108.,抛物线在横坐标的切线方程为,选A109.,切线方程是,选D110.,选A111.解:,切线方程法线方程,选A112.选C113.由函数取得极值的必要条件(书中定理)知选D114.解:选D115.解:令得,,与为拐点,选B116.选D117.选D118.选C119.解:,选B120.解:,选C,应选A121.解:,所以,故选C122.解:,所以,故选A123.解:选A124.解:故选B125.解:因为,所以,故选B126.解:选C127.解:选A128.解:,选C129.解:选B130.B131.D132.解:.所以答案为C.133.解:由于,所以答案为B.134.解:135.解:选A136.解:因为,故选B137.解:对两边求导得,故选C138.解:,故选B139.解:,故选B140.解:=,故选A141.解:选C142.解:,故选B143.解:,选B144.解:,,选B145.解:,选A146.解:选B147.解:选A148.解:因为,故选D149.解:因为,故选D150.解:,故选A151.解:因为,故选C152.解:因为,故选A153.解:,所以为函数在区间上的最小值,故选D154.解:所以,故选B155.解:,故选D156.解:选C157.解:,故选B158.解:由于,故选B159.解:因为,选B160.解:选C161.解:选A162.解:,选C163.解:,选C164.解:令,则,选B165.解:因为,故选B166.解:因为,故选A167.解:,故选C168.解:,故选A169.解:,所以积分收敛,必须故选A170.解:,选A17...

1、当您付费下载文档后,您只拥有了使用权限,并不意味着购买了版权,文档只能用于自身使用,不得用于其他商业用途(如 [转卖]进行直接盈利或[编辑后售卖]进行间接盈利)。
2、本站所有内容均由合作方或网友上传,本站不对文档的完整性、权威性及其观点立场正确性做任何保证或承诺!文档内容仅供研究参考,付费前请自行鉴别。
3、如文档内容存在违规,或者侵犯商业秘密、侵犯著作权等,请点击“违规举报”。

碎片内容

专升本高等数学综合练习题参考答案

文章天下+ 关注
实名认证
内容提供者

各种文档应有尽有

确认删除?
VIP
微信客服
  • 扫码咨询
会员Q群
  • 会员专属群点击这里加入QQ群
客服邮箱
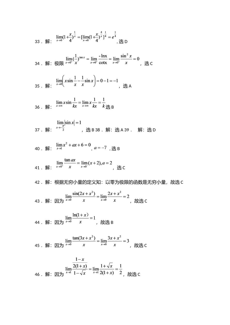
回到顶部