电脑桌面
添加小米粒文库到电脑桌面
安装后可以在桌面快捷访问

2008年高中数学新教材变式题15:《复数》(命题人:广大附中 王映)

2008年高中数学新教材变式题15:《复数》(命题人:广大附中 王映)_第1页
1/3
2008年高中数学新教材变式题15:《复数》(命题人:广大附中 王映)_第2页
2/3
2008年高中数学新教材变式题15:《复数》(命题人:广大附中 王映)_第3页
3/3
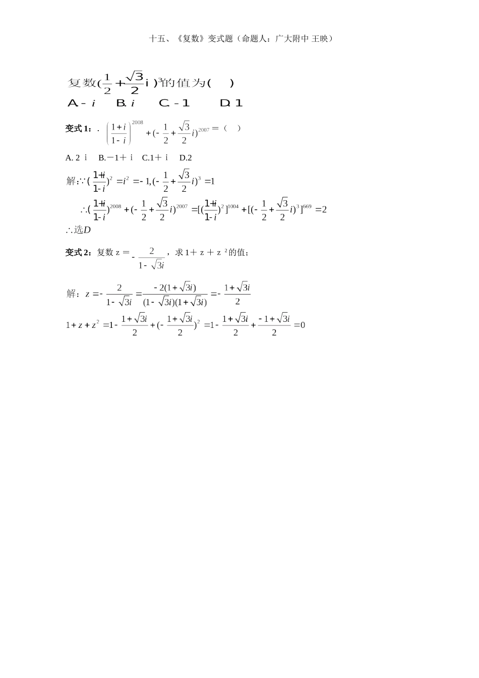
十五、《复数》变式题(命题人:广大附中 王映)十五、《复数》变式题(命题人:广大附中 王映)1.选修 1-2 第 62 页例、选修 2-2 第 116 页例 1:变式 1:若复数是纯虚数,则= .变式 2:使复数为实数的充分而不必要条件是 ( )A. B. C.为实数 D.为实数变式 3:若有分别表示正实数集,负实数集,纯虚数集,则集合=( ).A. B. C. D.2.选修 1-2 第 65 页习题 A 组第 5 题、选修 2-2 第 119 页 A 组习题第 5 题:实数 m 取什么值时,复平面内表示复数的点(1)位于第四象限? (2)位于第一、二象限?(3)位于直线上变式 1:复数z=(a 2-2 a)+(a 2-a-2)i对应的点在虚轴上,则(C)A.a≠2 或a≠1 B.a≠2 且a≠1 C.a=2 或a=0 D.a=0变式 2:已知复数,,则在复平面上对应的点位于( )A.第一象限B.第二象限C.第三象限D.第四象限变式 3:如果,复数在复平面上的对应点在 象限.OZ 0(2,2 )十五、《复数》变式题(命题人:广大附中 王映)变式 4:已知z 0=2+2 i,|z-z 0|=,(1)求复数z在复平面内对应的点的轨迹(2)求z为何值时,|z|有最小值,并求出|z|有最小值,解(1)设 z=x+y i(x,y∈R),由|z-z 0|=,即 |x+y i-(2+2 i)|=|(x-2)+(y-2)i|=,解得(x-2)2+(y-2)2=2 ∴复数z点的轨迹是以 Z0(2,2)为圆心,半径为的圆。(2)当 Z 点在 OZ 0的连线上时,|z|有最大值或最小值,∵| OZ 0|=2,半径r=,∴当z=1+i时,|z|min=3。选修 1-2 第 73 页习题 B 组第 2 题、选修 2-2 第 129 页习题 B 组第 2 题变式 1:计算 . 变式 2:若,那么的值是 .选修 1-2 第 73 页习题 A 组选择第 4 题,选修 2-2 第 129 页习题 A 组选择第 4 题十五、《复数》变式题(命题人:广大附中 王映)变式 1:.=( )A. 2 i B.-1+i C.1+i D.2 变式 2:复数z=,求 1+z+z 2的值;

1、当您付费下载文档后,您只拥有了使用权限,并不意味着购买了版权,文档只能用于自身使用,不得用于其他商业用途(如 [转卖]进行直接盈利或[编辑后售卖]进行间接盈利)。
2、本站所有内容均由合作方或网友上传,本站不对文档的完整性、权威性及其观点立场正确性做任何保证或承诺!文档内容仅供研究参考,付费前请自行鉴别。
3、如文档内容存在违规,或者侵犯商业秘密、侵犯著作权等,请点击“违规举报”。

碎片内容

2008年高中数学新教材变式题15:《复数》(命题人:广大附中 王映)

您可能关注的文档

文章天下+ 关注
实名认证
内容提供者

各种文档应有尽有

确认删除?
VIP
微信客服
  • 扫码咨询
会员Q群
  • 会员专属群点击这里加入QQ群
客服邮箱
回到顶部