电脑桌面
添加小米粒文库到电脑桌面
安装后可以在桌面快捷访问

2010届高三数学一轮复习学案:函数的最值与值域

2010届高三数学一轮复习学案:函数的最值与值域_第1页
1/5
2010届高三数学一轮复习学案:函数的最值与值域_第2页
2/5
2010届高三数学一轮复习学案:函数的最值与值域_第3页
3/5
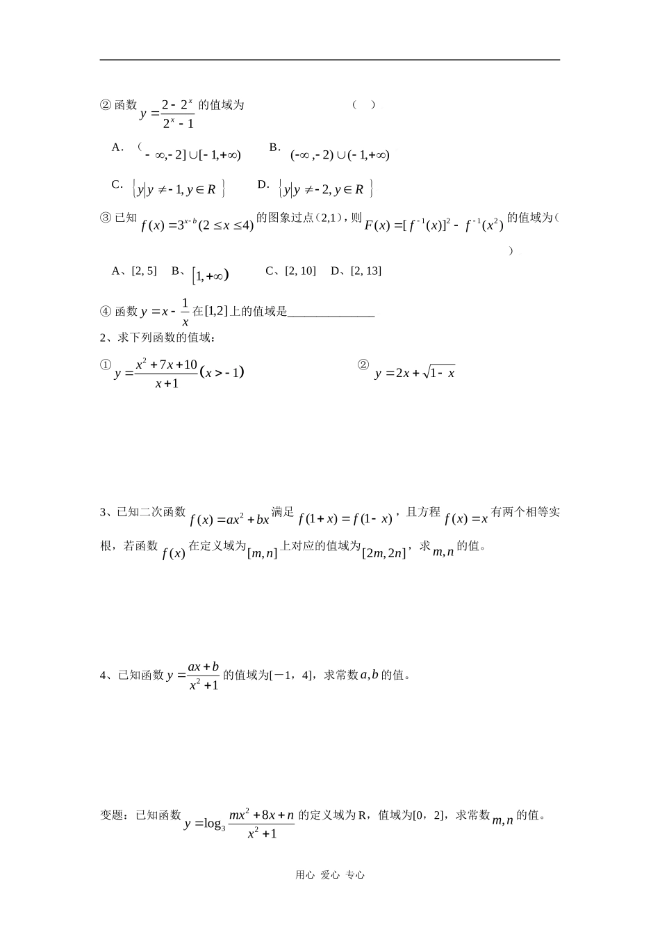
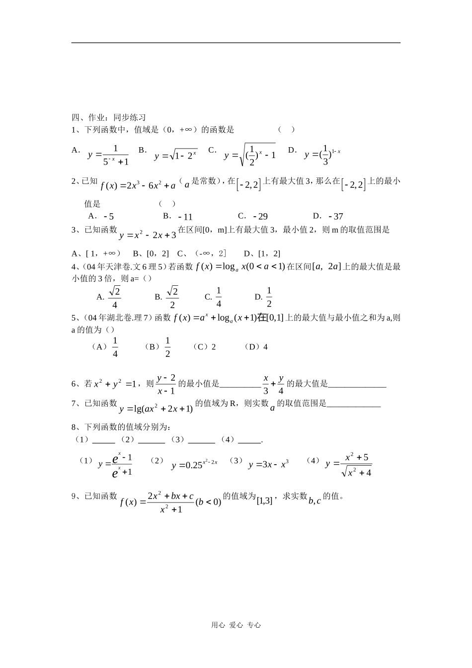
函数的最值与值域一、知识回顾:求函数值域(最值)的一般方法:1、利用基本初等函数的值域;2、配方法(二次函数或可转化为二次函数的函数);3、不等式法(利用基本不等式,尤其注意形如)0(kxkxy型函数)4、函数的单调性:特别关注)0(kxkxy的图象及性质5、部分分式法、判别式法(分式函数)6、换元法(无理函数)7、导数法(高次函数)8、反函数法9、数形结合法二、基本训练:1、函数的值域是131xy ( )(A) (-)1, (B) (),0()0,(C) (-1,+) (D) (-),0()1,2、函数)2(loglog 2xxyx的值域是( )A.]1,((B)),3[ (C)]3,1[ (D)),3[]1,(3、函数2254xyx的值域为____。4、 ①223xxy 的值域是______________. ②12xxy的最小值是______________. ③312 xxy的值域是______________. ④ 函数231( )23f xxx在区间[-1,5]上的最大值是______三、例题分析:1、①函数)1(11)(xxxf的最大值是( )A. 54B. 45C. 43D. 34用心 爱心 专心② 函数1222xxy的值域为 ( )A.(),1[]2, B.),1()2,( C.Ryyy,1 D.Ryyy,2③ 已知( )3(24)x bf xx 的图象过点(2,1),则1212( )[( )]()F xfxfx的值域为( ) A、[2, 5] B、1, C、[2, 10] D、[2, 13]④ 函数xxy1在]2,1[上的值域是_______________ 2、求下列函数的值域:①271011xxyxx  ② xxy123、已知二次函数2( )f xaxbx满足(1)(1)fxfx,且方程( )f xx 有两个相等实根,若函数( )f x 在定义域为[ , ]m n 上对应的值域为[2 ,2 ]mn ,求,m n 的值。4、已知函数21axbyx的值域为[-1,4],求常数ba,的值。变题:已知函数2328log1mxxnyx的定义域为 R,值域为[0,2],求常数,m n 的值。用心 爱心 专心四、作业:同步练习 1、下列函数中,值域是(0,+∞)的函数是 ( )A.151 xy B.xy21 C.1)21(xy D.xy1)31(2、已知32( )26f xxxa (a 是常数),在2,2上有最大值 3,那么在2,2上的最小值是( )A. 5 B. 11 C. 29 D. 37 3、已知函数322xxy在区间[0,m]上有最大值 3,最小值 2,则 m 的取值范围是A、[ 1,...

1、当您付费下载文档后,您只拥有了使用权限,并不意味着购买了版权,文档只能用于自身使用,不得用于其他商业用途(如 [转卖]进行直接盈利或[编辑后售卖]进行间接盈利)。
2、本站所有内容均由合作方或网友上传,本站不对文档的完整性、权威性及其观点立场正确性做任何保证或承诺!文档内容仅供研究参考,付费前请自行鉴别。
3、如文档内容存在违规,或者侵犯商业秘密、侵犯著作权等,请点击“违规举报”。

碎片内容

2010届高三数学一轮复习学案:函数的最值与值域

您可能关注的文档

文章天下+ 关注
实名认证
内容提供者

各种文档应有尽有

确认删除?
VIP
微信客服
  • 扫码咨询
会员Q群
  • 会员专属群点击这里加入QQ群
客服邮箱
回到顶部