电脑桌面
添加小米粒文库到电脑桌面
安装后可以在桌面快捷访问

2012高中物理 3.2 竖直方向上的抛体运动学案1 鲁科版必修2

2012高中物理 3.2 竖直方向上的抛体运动学案1 鲁科版必修2_第1页
1/3
2012高中物理 3.2 竖直方向上的抛体运动学案1 鲁科版必修2_第2页
2/3
2012高中物理 3.2 竖直方向上的抛体运动学案1 鲁科版必修2_第3页
3/3
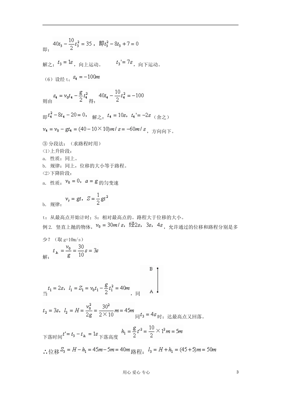
竖直方向上的抛体运动学案[重点、难点]竖直上抛的规律及应用。[要求]熟练掌握下抛和上抛运动的规律[复习]① 匀变速直线运动的规律:② 自由落体:定义:1. 竖直下抛运动:物体具有向下的初速度且只受重力。① 运动性质:初速为 v0≠0 加速度为 g 的匀加速运动。② 规律:设 v0(向下)为正,则:2. 竖直上抛运动:物体具有竖直向上的初速度且只受重力。① 运动性质:初速为 v0、加速度为 g 的匀减速直线运动。② 整体法:包括上升和下降两个阶段。a. 规律:设 v0(向上)为正,则 a=-g则: 条件:竖直上抛。适用整个过程(上升和下降)b. 各个量意义和符号:设 v0(向上)为正。<1>vt:末速:,上升 ,达最点 ,下降<2>t:运动时间,从抛出点计时。<3>s:物体对抛出点的位移。,在抛出点之上; ,在抛出点; ,在抛出点之下。c. 应用:某物体以 v0竖直上抛<1>上升时间:t 上:∵用心 爱心 专心1<2>上升的最大高度 H:∵<3>落回抛出点的时间 t: <4>落回抛出点的速度落回任一点的速度和上升时经过该点的速度大小相等,方向相反。例:在离地面足够高的 A 点以 40m/s 的速度竖直上抛一小球,g 取,求:(1)小球在2s 末的位置和速度;(2)小球到达最高点的时间和最高点到抛出点的距离;(3)小球在 6s 末的位置和速度;(4)小球落回 A 点的速度及时间;(5)经多长时间小球恰好位于抛出点上方35m 处;(6)小球落在 A 点以下 100m 处所需时间,此时小球速度多大?解:设向上为正。(1)在 A 之上 60m。(2) (3)在 A 之上 60m 与 2 末同,方向向下。(4),方向向下(5)当时经时间为,则用心 爱心 专心2即:解之:,向上运动。 ,向下运动。(6)设经 t4 则由得:即解之:(舍之),方向向下。③ 分段法:(求路程时用)<1>上升阶段:a. 性质:同上。b. 规律:同上,位移的大小等于路程。<2>下降阶段:a. 性质:的匀变速b. 规律:t:从最高点开始计时;S:相对最高点的。路程大于位移的大小。例 2. 竖直上抛的物体,,允许通过的位移和路程分别是多少?(取 g=10m/s)解:当,同同时:达最高点又回落。下落时间下落高度 ∴位移路程:用心 爱心 专心3

1、当您付费下载文档后,您只拥有了使用权限,并不意味着购买了版权,文档只能用于自身使用,不得用于其他商业用途(如 [转卖]进行直接盈利或[编辑后售卖]进行间接盈利)。
2、本站所有内容均由合作方或网友上传,本站不对文档的完整性、权威性及其观点立场正确性做任何保证或承诺!文档内容仅供研究参考,付费前请自行鉴别。
3、如文档内容存在违规,或者侵犯商业秘密、侵犯著作权等,请点击“违规举报”。

碎片内容

2012高中物理 3.2 竖直方向上的抛体运动学案1 鲁科版必修2

您可能关注的文档

文章天下+ 关注
实名认证
内容提供者

各种文档应有尽有

确认删除?
VIP
微信客服
  • 扫码咨询
会员Q群
  • 会员专属群点击这里加入QQ群
客服邮箱
回到顶部