电脑桌面
添加小米粒文库到电脑桌面
安装后可以在桌面快捷访问

【高考A计划】2014高考数学第一轮复习 第25课时 同角三角函数的基本关系与诱导公式学案 新人教A版

【高考A计划】2014高考数学第一轮复习 第25课时 同角三角函数的基本关系与诱导公式学案 新人教A版_第1页
1/3
【高考A计划】2014高考数学第一轮复习 第25课时 同角三角函数的基本关系与诱导公式学案 新人教A版_第2页
2/3
【高考A计划】2014高考数学第一轮复习 第25课时 同角三角函数的基本关系与诱导公式学案 新人教A版_第3页
3/3
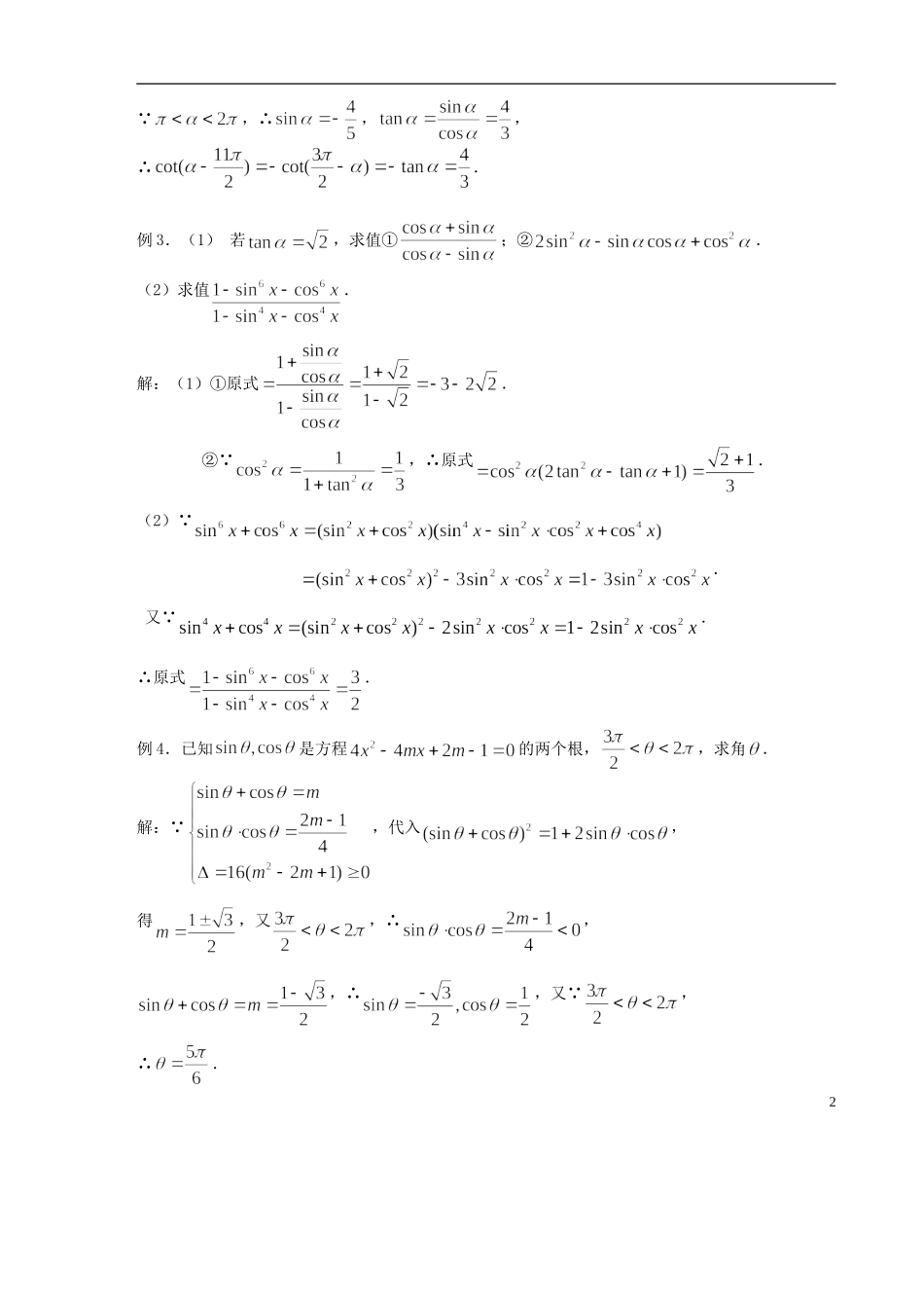
【高考 A 计划】2014 高考数学第一轮复习 第 25 课时 同角三角函数的基本关系与诱导公式学案 新人教 A 版一.课题:同角三角函数的基本关系与诱导公式 二.教学目标:1.掌握同角三角函数的基本关系式及诱导公式;并能运用这些公式进行求值、化简与证明. 三.教学重点:公式的恰当选用及利用公式时符号的正确选取.四.教学过程:(一)主要知识:1.同角三角函数的基本关系式:(1)倒数关系:;(2)商数关系:;(3)平方关系: .2.诱导公式,奇变偶不变,符号看象限.(二)主要方法:1.利用同角三角函数的基本关系式时要细心观察题目的特征,注意公式的合理选用,特别要注意开方时的符号选取,切割化弦是常用的方法; 2.学会利用方程的思想解三角题,对于三个式子中,已知其中一个式子的值,可求其余两个式子的值. (三)例题分析:例 1.化简分析:切割化弦是解本题的出发点. 解:原式.例 2.化简(1);(2)已知,求的值.解:(1)原式.(2),∴,1∵,∴,,∴.例 3.(1) 若,求值①;②.(2)求值.解:(1)①原式.②∵,∴原式.(2)∵.又∵.∴原式.例 4.已知是方程的两个根,,求角.解:∵,代入,得,又,∴,,∴,又∵,∴.2 (四)巩固练习:1.若, ( ) 2.已知,则. 五.课后作业:《高考计划》考点 25,智能训练 4,6,7,9,10,12,15,16.3

1、当您付费下载文档后,您只拥有了使用权限,并不意味着购买了版权,文档只能用于自身使用,不得用于其他商业用途(如 [转卖]进行直接盈利或[编辑后售卖]进行间接盈利)。
2、本站所有内容均由合作方或网友上传,本站不对文档的完整性、权威性及其观点立场正确性做任何保证或承诺!文档内容仅供研究参考,付费前请自行鉴别。
3、如文档内容存在违规,或者侵犯商业秘密、侵犯著作权等,请点击“违规举报”。

碎片内容

【高考A计划】2014高考数学第一轮复习 第25课时 同角三角函数的基本关系与诱导公式学案 新人教A版

您可能关注的文档

确认删除?
VIP
微信客服
  • 扫码咨询
会员Q群
  • 会员专属群点击这里加入QQ群
客服邮箱
回到顶部