电脑桌面
添加小米粒文库到电脑桌面
安装后可以在桌面快捷访问

四川省南江四中高一数学初高中衔接教材 几种特殊的三角形

四川省南江四中高一数学初高中衔接教材 几种特殊的三角形_第1页
1/5
四川省南江四中高一数学初高中衔接教材 几种特殊的三角形_第2页
2/5
四川省南江四中高一数学初高中衔接教材 几种特殊的三角形_第3页
3/5
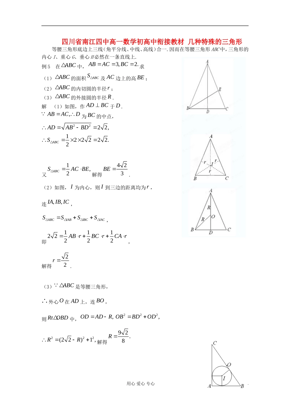
四川省南江四中高一数学初高中衔接教材 几种特殊的三角形等腰三角形底边上三线(角平分线、中线、高线)合一.因而在等腰三角形 ABC 中,三角形的内心 I、重心 G、垂心 H 必然在一条直线上.例 5 在 ABC中,3,2.ABACBC求(1) ABC的面积ABCS及 AC 边上的高 BE ;(2) ABC的内切圆的半径r ;(3) ABC的外接圆的半径 R .解 (1)如图,作 ADBC于 D .,ABACD为 BC 的中点,222 2,12 2 22 2.2ABCADABBDS  又1,2ABCSAC BE解得4 23BE . (2)如图, I 为内心,则 I 到三边的距离均为r ,连,,IA IB IC , ABCIABIBCIACSSSS,即1112 2222AB rBC rCA r  ,解得22r .(3)ABC是等腰三角形,外心O 在 AD 上,连 BO ,则 Rt OBD中,,ODADR222,OBBDOD222(2 2)1 ,RR解得9 2 .8R 用心 爱心 专心1在直角三角形 ABC 中, AÐ为直角,垂心为直角顶点 A, 外心 O 为斜边 BC 的中点,内心 I 在三角形的内部,且内切圆的半径为2bca+ -(其中 , ,a b c 分别为三角形的三边 BC,CA,AB 的长),为什么? 该 直 角 三 角 形 的 三 边 长 满 足 勾 股 定 理 :222ACABBC+=.例 6 如图,在ABCV中,AB=AC,P 为 BC 上任意一点.求证:22APABPB PC=-×.证明:过 A 作 ADBC^于 D.在 RtABDV中,222ADABBD=-.在 RtAPDV中,222APADDP=-.22222()().APABBDDPABBDDP BDDP\=-+=-+-,,ABAC ADBCBDDC=^\=Q.BDDPCDDPPC\-=-=.22APABPB PC\=-×.正三角形三条边长相等,三个角相等,且四心(内心、重心、垂心、外心)合一,该点称为正三角形的中心.例7已知等边三角形 ABC 和点 P,设点 P 到三边 AB,AC,BC 的距离分别为123,,h h h ,三角形 ABC 的高为 h ,“若点 P 在一边 BC 上,此时30h =,可得结论:123hhhh++=.”请直接应用以上信息解决下列问题:用心 爱心 专心2图 3.2-15当(1)点 P 在ABCV内(如图 b),(2)点在ABCV外(如图 c),这两种情况时,上述结论是否还成立?若成立,请给予证明;若不成立,123,,h h h 与h 之间有什么样的关系,请给出你的猜想(不必证明).解 (1)当点 P 在ABCV内时,法 一 如 图 , 过 P 作''B C分 别 交,,AB AM AC 于',','B M C ,由题设知'AMPDPE=+,而'AMAMPF=-,故...

1、当您付费下载文档后,您只拥有了使用权限,并不意味着购买了版权,文档只能用于自身使用,不得用于其他商业用途(如 [转卖]进行直接盈利或[编辑后售卖]进行间接盈利)。
2、本站所有内容均由合作方或网友上传,本站不对文档的完整性、权威性及其观点立场正确性做任何保证或承诺!文档内容仅供研究参考,付费前请自行鉴别。
3、如文档内容存在违规,或者侵犯商业秘密、侵犯著作权等,请点击“违规举报”。

碎片内容

四川省南江四中高一数学初高中衔接教材 几种特殊的三角形

您可能关注的文档

文章天下+ 关注
实名认证
内容提供者

各种文档应有尽有

确认删除?
VIP
微信客服
  • 扫码咨询
会员Q群
  • 会员专属群点击这里加入QQ群
客服邮箱
回到顶部