电脑桌面
添加小米粒文库到电脑桌面
安装后可以在桌面快捷访问

江苏省响水中学高中数学 第2章《圆锥曲线与方程》定点定值导学案 苏教版选修1-1

江苏省响水中学高中数学 第2章《圆锥曲线与方程》定点定值导学案 苏教版选修1-1_第1页
1/7
江苏省响水中学高中数学 第2章《圆锥曲线与方程》定点定值导学案 苏教版选修1-1_第2页
2/7
江苏省响水中学高中数学 第2章《圆锥曲线与方程》定点定值导学案 苏教版选修1-1_第3页
3/7
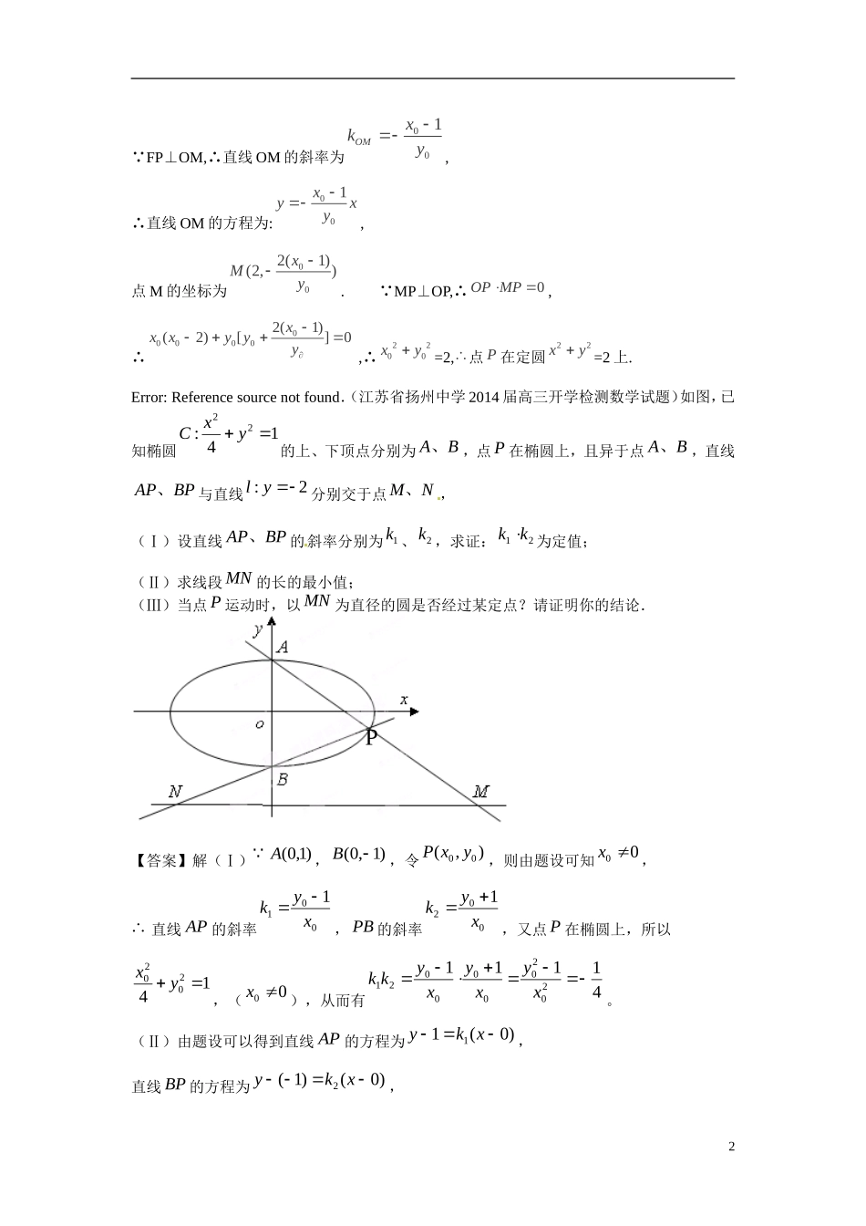
江苏省响水中学高中数学 第 2 章《圆锥曲线与方程》定点定值导学案 苏教版选修 1-1椭圆C 的方程为:2212xy (2)① 由(1)知:(1,0)F,设(2, )Mt , 则圆 D 的方程:222(1)()124ttxy , 直线 PQ 的方程: 220xty , 6PQ,22222222 (1)()644ttt, 24t ,2t  圆 D 的方程:22(1)(1)2xy 或22(1)(1)2xy ② 解法(一):设00(,)P xy, 由①知:2220000(1)()124220ttxyxty ,即:2200000020220xyxtyxty, 消去t 得:2200xy=2,点 P 在定圆22xy=2 上. 解法(二):设00(,)P xy,则直线 FP 的斜率为001FPykx, 1 FP⊥OM,∴直线 OM 的斜率为001OMxky, ∴直线 OM 的方程为:001xyxy, 点 M 的坐标为002(1)(2,)xMy. MP⊥OP,∴0OP MP�, ∴000002(1)(2)[]0xx xy yy ,∴2200xy=2,点 P 在定圆22xy=2 上. Error: Reference source not found.(江苏省扬州中学 2014 届高三开学检测数学试题)如图,已知椭圆14:22 yxC的上、下顶点分别为BA、,点 P 在椭圆上,且异于点BA、,直线BPAP、与直线2:yl分别交于点NM、,(Ⅰ)设直线BPAP、的斜率分别为1k 、2k ,求证:21 kk 为定值;(Ⅱ)求线段 MN 的长的最小值;(Ⅲ)当点 P 运动时,以 MN 为直径的圆是否经过某定点?请证明你的结论.【答案】解(Ⅰ))1,0(A,)1,0( B,令),(00 yxP,则由题设可知00 x, 直线 AP 的斜率0011xyk, PB 的斜率0021xyk,又点 P 在椭圆上,所以142020 yx,(00 x),从而有411112020000021xyxyxykk。(Ⅱ)由题设可以得到直线 AP 的方程为)0(11xky,直线 BP 的方程为)0()1(2xky,P2由232111ykxyxky, 由212122ykxyxky,直线 AP 与直线l 的交点2,31kN,直线 BP 与直线l 的交点2,12kM。又4121kk,2113||kkMN34||4||32||4||343111111kkkkkk,等号当且仅当||4||311kk时取到,即231k,故线段 MN 长的最小值是34。Error: Reference source not found. (江苏省淮安市车桥中学 2014 届高三 9 月期初测试...

1、当您付费下载文档后,您只拥有了使用权限,并不意味着购买了版权,文档只能用于自身使用,不得用于其他商业用途(如 [转卖]进行直接盈利或[编辑后售卖]进行间接盈利)。
2、本站所有内容均由合作方或网友上传,本站不对文档的完整性、权威性及其观点立场正确性做任何保证或承诺!文档内容仅供研究参考,付费前请自行鉴别。
3、如文档内容存在违规,或者侵犯商业秘密、侵犯著作权等,请点击“违规举报”。

碎片内容

江苏省响水中学高中数学 第2章《圆锥曲线与方程》定点定值导学案 苏教版选修1-1

您可能关注的文档

确认删除?
VIP
微信客服
  • 扫码咨询
会员Q群
  • 会员专属群点击这里加入QQ群
客服邮箱
回到顶部