电脑桌面
添加小米粒文库到电脑桌面
安装后可以在桌面快捷访问

高考化学二轮复习 专题提分填空题热点练 热点7 给定条件的同分异构体的书写和判断检测(含解析)试题VIP免费

高考化学二轮复习 专题提分填空题热点练 热点7 给定条件的同分异构体的书写和判断检测(含解析)试题_第1页
1/14
高考化学二轮复习 专题提分填空题热点练 热点7 给定条件的同分异构体的书写和判断检测(含解析)试题_第2页
2/14
高考化学二轮复习 专题提分填空题热点练 热点7 给定条件的同分异构体的书写和判断检测(含解析)试题_第3页
3/14
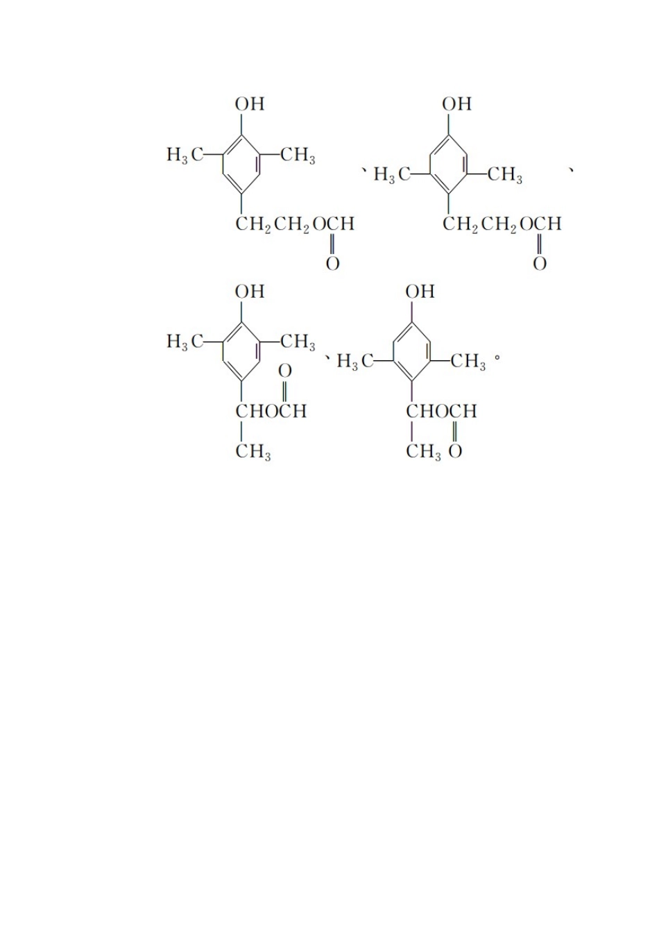
热点7给定条件的同分异构体的书写和判断解析(1)由能发生银镜反应,应含醛基,因苯环上有两种不同化学环境的氢,应有两个不同取代基,且互为对位。(2)由H的性质可知它含酚羟基,且—OH的两个邻位和对位上没有取代基。1molH与3molNaOH反应,故除酚羟基外,还有一个酚生成的酯基,但不能是甲酸生成的酯基,则H的可能结构有4种。答案86.同时满足下列条件的的所有同分异构体有________种(不考虑立体异构)。①能使溴的四氯化碳溶液褪色;②1mol该同分异构体与足量饱和NaHCO3反应产生88g气体。答案187.乙基香草醛()的同分异构体有很多种,满足下列条件的同分异构体有________种(不考虑立体异构)。①能与NaHCO3溶液反应②遇FeCl3溶液显紫色,且能与浓溴水反应③苯环上有两个烃基④苯环上的含氧官能团处于对位其中有一种同分异构体的核磁共振氢谱中出现4组峰,吸收峰的面积之比为1∶1∶2∶6的同分异构体的结构简式为______________。答案19

1、当您付费下载文档后,您只拥有了使用权限,并不意味着购买了版权,文档只能用于自身使用,不得用于其他商业用途(如 [转卖]进行直接盈利或[编辑后售卖]进行间接盈利)。
2、本站所有内容均由合作方或网友上传,本站不对文档的完整性、权威性及其观点立场正确性做任何保证或承诺!文档内容仅供研究参考,付费前请自行鉴别。
3、如文档内容存在违规,或者侵犯商业秘密、侵犯著作权等,请点击“违规举报”。

碎片内容

高考化学二轮复习 专题提分填空题热点练 热点7 给定条件的同分异构体的书写和判断检测(含解析)试题

您可能关注的文档

确认删除?
VIP
微信客服
  • 扫码咨询
会员Q群
  • 会员专属群点击这里加入QQ群
客服邮箱
回到顶部