电脑桌面
添加小米粒文库到电脑桌面
安装后可以在桌面快捷访问

分数指数幂2

分数指数幂2_第1页
1/3
分数指数幂2_第2页
2/3
分数指数幂2_第3页
3/3
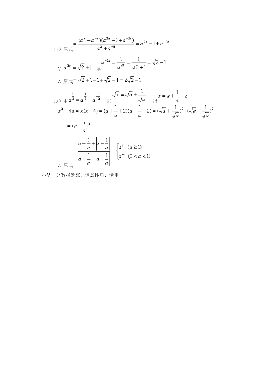
课题:§2.2.1 分数指数幂主备人 丁文玲教学目标:(1)巩固根式和分数指数幂的概念及运算性质,(2)能够利用分数指数幂的性质进行代数运算和化简。教学重点:(1)根式和分数指数幂的相互转化。 (2)分数指数幂的概念和分数指数的运算性质的熟练运用。教学难点:熟练运用指数的运算性质进行代数运算和化简教学过程:1.复习根式的概念和分数指数幂的概念及运算性质。2.例题讲解[例 1] 求值:(1)(2)解:(1)复习负数指数幂及相应的运算性质(2)原式 引导学生注意观察,介绍如何配方,[例 2] 化简: (1)(2)(3)解:(1)原式(2)原式 (3)原式 (1)根式和分数指数幂的转化;(2)常数优先,同底的优先(3)根式和分数指数幂的转化,常见的代数变形技巧 [例 3] (1)已知:,求,,。(2)已知:,求。解:(1)由 得 ∴ ∵ 又 ∴ 由 ∴ 或(2) 注意观察指数间的倍数关系,转化成平方关系或立方关系变式(1)已知,求的值。(2)若,求的值。解:(1)原式 ∵ 得 ∴ 原式(2)由 即 得 ∴ 原式小结:分数指数幂,运算性质,运用

1、当您付费下载文档后,您只拥有了使用权限,并不意味着购买了版权,文档只能用于自身使用,不得用于其他商业用途(如 [转卖]进行直接盈利或[编辑后售卖]进行间接盈利)。
2、本站所有内容均由合作方或网友上传,本站不对文档的完整性、权威性及其观点立场正确性做任何保证或承诺!文档内容仅供研究参考,付费前请自行鉴别。
3、如文档内容存在违规,或者侵犯商业秘密、侵犯著作权等,请点击“违规举报”。

碎片内容

分数指数幂2

您可能关注的文档

文章天下+ 关注
实名认证
内容提供者

各种文档应有尽有

相关文档

相关标签

确认删除?
VIP
微信客服
  • 扫码咨询
会员Q群
  • 会员专属群点击这里加入QQ群
客服邮箱
回到顶部