电脑桌面
添加小米粒文库到电脑桌面
安装后可以在桌面快捷访问

第23课时 对 数(三)

第23课时  对 数(三)_第1页
1/3
第23课时  对 数(三)_第2页
2/3
第23课时  对 数(三)_第3页
3/3
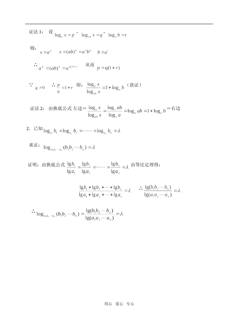
第 23 课时 对 数(三)教学目标:使学生掌握对数的换底公式,并能解决有关的化简、求值、证明问题;培养培养观察分析、抽象概括能力、归纳总结能力、逻辑推理能力.教学重点:换底公式及推论. 教学难点:换底公式的证明和灵活应用.教学过程:教学过程:Ⅰ.复习回顾对数的运算法则 若 a>0,a≠1,M>0,N>0,则(1)loga(MN)=logaM+logaN;(2)loga=logaM-logaN;(3)logaMn=nlogaM(n∈R)Ⅱ.讲授新课1.对数换底公式:log a N= (a>0,a≠1,m>0 ,m≠1,N>0) 证明:设 log a N=x , 则 ax=N 两边取以 m 为底的对数:log m ax=log m Nx log m a=log m N 从而得:x= ∴ log a N=2.两个常用的推论:① log a b·log b a=1② log bn=log a b( a、b>0 且均不为 1)证:① log a b·log b a==1 ②log bn===log a b Ⅲ.例题分析例 1 已知 log 23=a, log 37=b, 用 a, b 表示 log 4256解:因为 log 23=a,则=log 32 , 又∵log 37=b, ∴log 4256===例 2 计算:① 5 ② log 43·log 92-log 解:①原式= ② 原式=log 23·log 32+log 22=+=用心 爱心 专心例 3 设 x、y、z∈(0,+∞)且 3x=4y=6z 1 求证 +=; 2 比较 3x,4y,6z 的大小 证明 1:设 3x=4y=6z=k ∵x、y、z∈(0,+∞) ∴k>1 取对数得:x=, y=, z= ∴+=+==== 2 3x-4y=(-)lgk=lgk=<0 ∴3x<4y 又:4y-6z=(-)lgk=lgk=<0 ∴4y<6z ∴3x<4y<6z 例 4 已知 log a x=log ac+b,求 x分析:由于 x 作为真数,故可直接利用对数定义求解;另外,由于等式右端为两实数和的形式,b 的存在使变形产生困难,故可考虑将 log a c 移到等式左端,或者将 b 变为对数形式解法一:由对数定义可知:解法二:由已知移项可得 log ax-log ac=b, 即 log a =b 由对数定义知:=ab ∴x=c·ab 解法三:∵b=log a ab ∴log ax=log ac+log a ab=log a c·ab ∴x=c·abⅣ.课堂练习① 已知 log 189=a , 18b=5 , 用 a, b 表示 log 3645 解:∵log 189=a ∴log 18=1-log 182=a ∴log 182=1a ∵18b=5 ∴ log 185=b ∴log 3645=== ② 若 log 83=p ,log 35=q, 求 lg5解:∵log 83=p ∴ =p log23=3plog 32= 又∵log 35=q ∴ lg5===Ⅴ.课时小结 本节课学习了以下内容:换底公式及其推论Ⅵ.课后作业 1.证明:用心 爱心 专心 证法 1: 设 ,, 则: ∴ 从而 ∵ ∴ 即:(获证)证法 2: 由换底公式 左边==右边 2.已知 求证: 证明:由换底公式 由等比定理得: ∴ ∴用心 爱心 专心

1、当您付费下载文档后,您只拥有了使用权限,并不意味着购买了版权,文档只能用于自身使用,不得用于其他商业用途(如 [转卖]进行直接盈利或[编辑后售卖]进行间接盈利)。
2、本站所有内容均由合作方或网友上传,本站不对文档的完整性、权威性及其观点立场正确性做任何保证或承诺!文档内容仅供研究参考,付费前请自行鉴别。
3、如文档内容存在违规,或者侵犯商业秘密、侵犯著作权等,请点击“违规举报”。

碎片内容

第23课时 对 数(三)

您可能关注的文档

确认删除?
VIP
微信客服
  • 扫码咨询
会员Q群
  • 会员专属群点击这里加入QQ群
客服邮箱
回到顶部