电脑桌面
添加小米粒文库到电脑桌面
安装后可以在桌面快捷访问

matlab指数增长和阻滞增长拟合代码

matlab指数增长和阻滞增长拟合代码_第1页
1/5
matlab指数增长和阻滞增长拟合代码_第2页
2/5
matlab指数增长和阻滞增长拟合代码_第3页
3/5
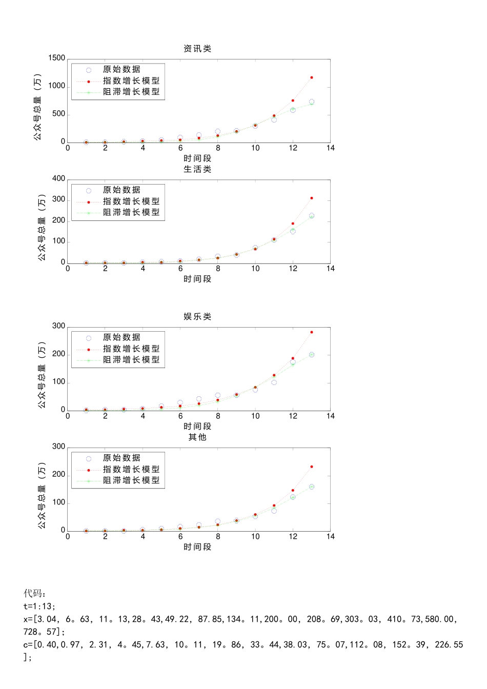
02468101214050010001500时 间 段公 众 号 总 量 ( 万 )资 讯 类 原 始 数 据指 数 增 长 模 型阻 滞 增 长 模 型024681012140100200300400时 间 段公 众 号 总 量 ( 万 )生 活 类 原 始 数 据指 数 增 长 模 型阻 滞 增 长 模 型024681012140100200300时 间 段公 众 号 总 量 ( 万 )娱 乐 类 原 始 数 据指 数 增 长 模 型阻 滞 增 长 模 型024681012140100200300时 间 段公 众 号 总 量 ( 万 )其 他 原 始 数 据指 数 增 长 模 型阻 滞 增 长 模 型代码:t=1:13;x=[3.04,6。63,11。13,28。43,49.22,87.85,134。11,200。00,208。69,303。03,410。73,580.00,728。57];c=[0.40,0.97,2.31,4。45,7.63,10。11,19。86,33。44,38.03,75。07,112。08,152。39,226.55];d=[2。06,2。35,3。17,8.06,15。22,28.82,43.31,54。67,55。83,75.26,102。01,174.05,200.95];e=[0.54,1。18,1.98,5。06,8。77,15。65,23.89,36。63,37。17,53.98,73.16,123.31,159.78];%指数增长模型y=log(x);cc=log(c);dd=log(d);ee=log(e);a=polyfit(t,y,1);h= polyfit(t,cc,1);i= polyfit(t,dd,1);k= polyfit(t,ee,1);r=a(1);r2=h(1);r3=i(1);r4=k(1);x0=exp(a(2));x1=x0*exp(r*t);c0=exp(h(2));c1=c0*exp(r2*t);d0=exp(i(2));d1=d0*exp(r3*t);e0=exp(k(2));e1=e0*exp(r4*t);%阻滞增长模型f=@(a,t) a(1)。/(1+(a(1)/x(1)—1)*exp(—a(2)*(t-t(1))));f=@(h,t) h(1)。/(1+(h(1)/c(1)-1)*exp(-h(2)*(t—t(1))));f=@(i,t) i(1)./(1+(i(1)/d(1)—1)*exp(-i(2)*(t—t(1))));f=@(k,t) k(1)。/(1+(k(1)/e(1)-1)*exp(-k(2)*(t-t(1))));a=lsqcurvefit(f,[800 1],t,x);h=lsqcurvefit(f,[800 1],t,c);i=lsqcurvefit(f,[800 1],t,d);k=lsqcurvefit(f,[800 1],t,e);figure(1);subplot(2,1,1);plot(t,x,’o',t,x1,'r:.');x2=f(a,t);plot(t,x,'o',t,x1,'r:。',t,x2,’g*—-')legend(’原始数据','指数增长模型','阻滞增长模型',2)xlabel 时间段ylabel 公众号总量(万)title(’资讯类');figure(1)subplot(2,1,2);plot(t,c,’o’,t,c1,’r:。’);c2=f(h,t);plo...

1、当您付费下载文档后,您只拥有了使用权限,并不意味着购买了版权,文档只能用于自身使用,不得用于其他商业用途(如 [转卖]进行直接盈利或[编辑后售卖]进行间接盈利)。
2、本站所有内容均由合作方或网友上传,本站不对文档的完整性、权威性及其观点立场正确性做任何保证或承诺!文档内容仅供研究参考,付费前请自行鉴别。
3、如文档内容存在违规,或者侵犯商业秘密、侵犯著作权等,请点击“违规举报”。

碎片内容

matlab指数增长和阻滞增长拟合代码

您可能关注的文档

领读文化+ 关注
实名认证
内容提供者

传播文化,铸就未来

相关文档

确认删除?
VIP
微信客服
  • 扫码咨询
会员Q群
  • 会员专属群点击这里加入QQ群
客服邮箱
回到顶部