电脑桌面
添加小米粒文库到电脑桌面
安装后可以在桌面快捷访问

高中1.6微积分积分定理学案新人教版选修2

高中1.6微积分积分定理学案新人教版选修2_第1页
1/4
高中1.6微积分积分定理学案新人教版选修2_第2页
2/4
高中1.6微积分积分定理学案新人教版选修2_第3页
3/4
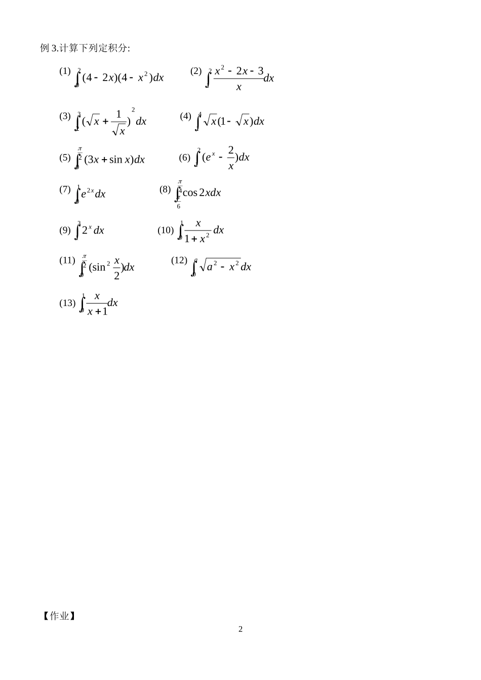
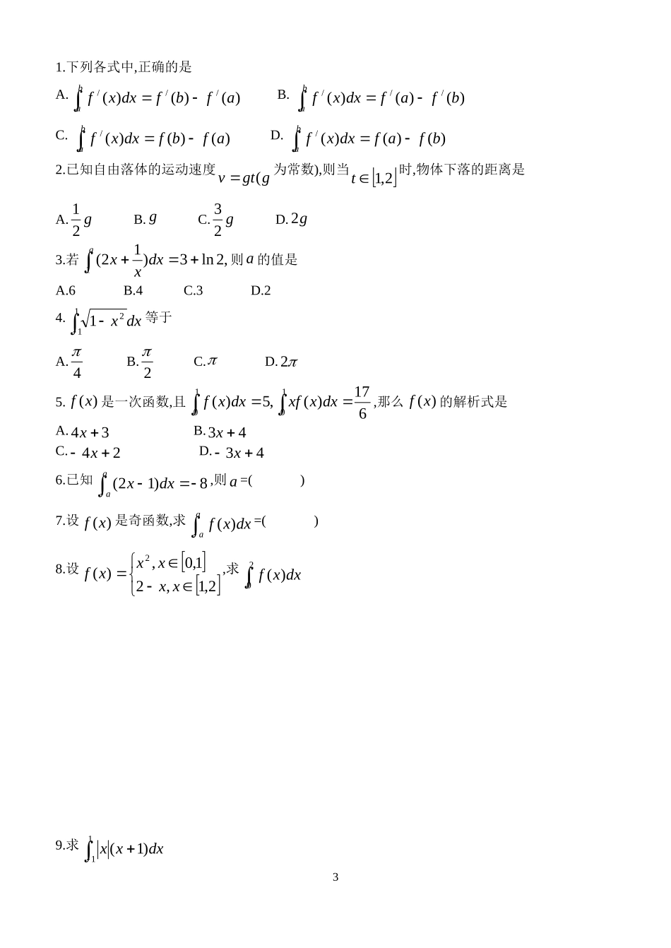
1.6 微积分积分定理【学习目标】1.通过实例直观了解微积分积分定理的含义;2.熟练地用微积分积分定理计算微积分.【复习回顾】1.基本初等函数地求导公式:2.导数运算法则:3.连续函数)(xf在ba,上的定积分定义:4.定积分的性质:【知识点实例探究】看课本 57—59 得出微积分基本定理:如果)(xf是区间ba,上的连续函数并且)()(/xfxF,那么badxxf)(___________例 1.计算下列定积分:(1)211 dxx (2)dxxx312 )12(例 2.计算下列定积分:0 sin xdx ,2 sin xdx ,20 sin xdx .由计算结果你能发现什么结论?试利用曲边梯形的面积表示所发现的结论.1例 3.计算下列定积分:(1)202)4)(24(dxxx (2)dxxxx21232(3)dxxx232)1( (4)dxxx)1(41(5)20)sin3(dxxx (6)21)2(dxxe x(7)102 dxe x (8)462cosxdx(9)31 2 dxx (10) 1021dxxx(11)dxx202)2(sin (12)adxxa022(13)dxxx 101【作业】21.下列各式中,正确的是A.)()()(///afbfdxxfba B. )()()(///bfafdxxfbaC. )()()(/afbfdxxfba D. )()()(/bfafdxxfba2.已知自由落体的运动速度ggtv(为常数),则当2,1t时,物体下落的距离是A.g21 B. g C.g23 D. g23.若,2ln3)12(1adxxx则a 的值是A.6 B.4 C.3 D.24.dxx1121等于A. 4 B. 2 C. D. 25.)(xf是一次函数,且1010617)(,5)(dxxxfdxxf,那么)(xf的解析式是A.34 x B.43 xC.24 x D.43 x6.已知aadxx8)12(,则a =( )7.设)(xf是奇函数,求aadxxf)(=( )8.设2,1,21,0,)(2xxxxxf,求20)(dxxf9.求dxxx)1(11310.课本 62 页 B 组 2.11.课本 62 页 B 组 3.4

1、当您付费下载文档后,您只拥有了使用权限,并不意味着购买了版权,文档只能用于自身使用,不得用于其他商业用途(如 [转卖]进行直接盈利或[编辑后售卖]进行间接盈利)。
2、本站所有内容均由合作方或网友上传,本站不对文档的完整性、权威性及其观点立场正确性做任何保证或承诺!文档内容仅供研究参考,付费前请自行鉴别。
3、如文档内容存在违规,或者侵犯商业秘密、侵犯著作权等,请点击“违规举报”。

碎片内容

高中1.6微积分积分定理学案新人教版选修2

您可能关注的文档

文章天下+ 关注
实名认证
内容提供者

各种文档应有尽有

确认删除?
VIP
微信客服
  • 扫码咨询
会员Q群
  • 会员专属群点击这里加入QQ群
客服邮箱
回到顶部