电脑桌面
添加小米粒文库到电脑桌面
安装后可以在桌面快捷访问

高三上学期备考数学选择填空狂练之 四 不等式(文) Word版含解析

高三上学期备考数学选择填空狂练之 四 不等式(文)  Word版含解析_第1页
1/6
高三上学期备考数学选择填空狂练之 四 不等式(文)  Word版含解析_第2页
2/6
高三上学期备考数学选择填空狂练之 四 不等式(文)  Word版含解析_第3页
3/6
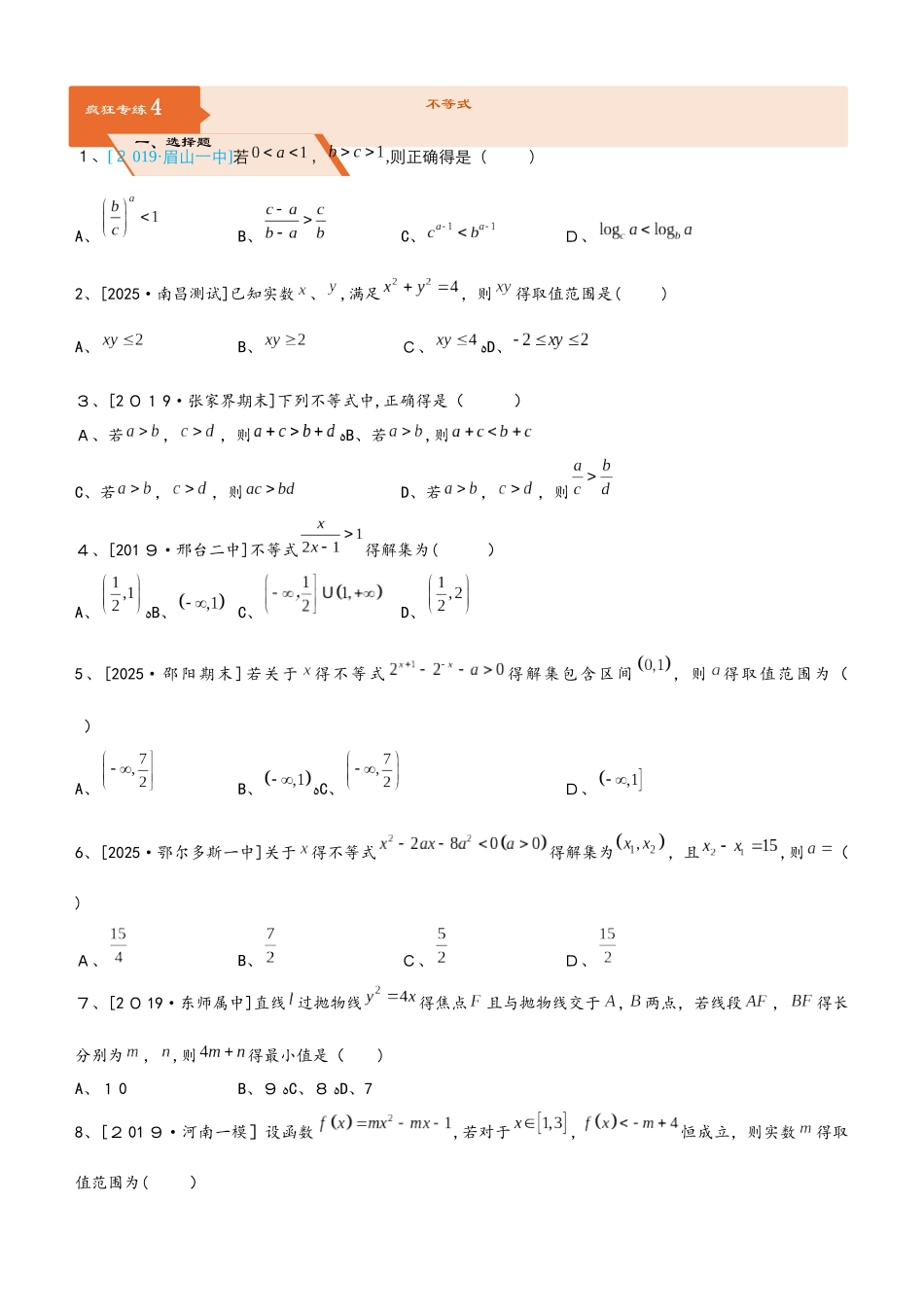
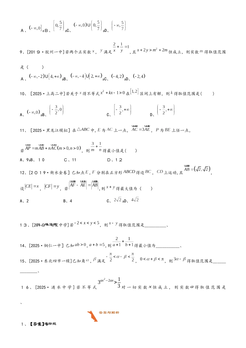
疯狂专练4不等式一、选择题1、[2 019·眉山一中]若,,则正确得是( )A、B、C、D、2、[2025·南昌测试]已知实数、,满足,则得取值范围是( )A、B、C、ﻩD、3、[2 01 9·张家界期末]下列不等式中,正确得是( )A、若,,则ﻩB、若,则C、若,,则D、若,,则4、[201 9·邢台二中]不等式得解集为( )A、ﻩB、C、D、5、[2025·邵阳期末]若关于得不等式得解集包含区间,则得取值范围为( )A、B、ﻩC、D、6、[2025·鄂尔多斯一中]关于得不等式得解集为,且,则( )A、B、C、D、7、[2 0 19·东师属中]直线 过抛物线得焦点且与抛物线交于,两点,若线段,得长分别为,,则得最小值是( )A、1 0B、9ﻩC、8ﻩD、78、[2 01 9·河南一模]设函数,若对于,恒成立,则实数得取值范围为( )二、填空题答案与解析一、选择题A、ﻩB、ﻩC、ﻩD、9、[201 9·胶州一中]若两个正实数,满足,且恒成立,则实数得取值范围是( )A、ﻩB、ﻩC、ﻩD、10、[2025·上高二中]若关于得不等式在区间上有解,则得取值范围是( )A、ﻩB、C、D、11、[2025·黑龙江模拟]在中,为上一点,,为上任一点,若,则得最小值是( )A、9ﻩB、1 0C、11D、1 212、[2 01 9·衡水金卷]已知点,分别在正方形得边,上运动,且,设,,若,则得最大值为( )A、2B、4C、ﻩD、1 3、[201 9·七宝中学]若,则得取值范围是________、14、[2025·铜仁一中]已知,,则得最小值为__________、15、[2025·东北四市一模]已知角,满足,,则得取值范围是__________、1 6 、 [2025· 涟 水 中 学 ] 若 不 等 式3ax2−2ax> 13 对 一 切 实 数 x 恒 成 立 , 则 实 数 a 得 取 值 范 围 是 、1、【答案】D【解析】对于 A, ,∴, ,则,故错误,对于 B,若,则,即,这与矛盾,故错误,对于 C, ,∴, ,则,故错误,对于 D, ,∴,故正确、故选 D、2、【答案】D【解析】由,知,故选D、3、【答案】A【解析】若,则,故 B 错,设,,,,则,,∴C、D 错,故选A、4、【答案】A【解析】原不等式等价于,即,整理得,不等式等价于,解得、故选 A、5、【答案】D【解析】原不等式等价于,由于函数在区间上为增函数,当,,故、故选 D、6、【答案】C【解析】 ,∴,即,又,∴,解得、故选 C、7、【答案】B【解析】由抛物线焦点弦得性质可知:,则,当且仅当,时等号成立、即得最小值是 9、故选 B、8、【答案】...

1、当您付费下载文档后,您只拥有了使用权限,并不意味着购买了版权,文档只能用于自身使用,不得用于其他商业用途(如 [转卖]进行直接盈利或[编辑后售卖]进行间接盈利)。
2、本站所有内容均由合作方或网友上传,本站不对文档的完整性、权威性及其观点立场正确性做任何保证或承诺!文档内容仅供研究参考,付费前请自行鉴别。
3、如文档内容存在违规,或者侵犯商业秘密、侵犯著作权等,请点击“违规举报”。

碎片内容

高三上学期备考数学选择填空狂练之 四 不等式(文) Word版含解析

一二三四传媒+ 关注
实名认证
内容提供者

大量资料供您选择,没有合适的可以联系小二。

确认删除?
VIP
微信客服
  • 扫码咨询
会员Q群
  • 会员专属群点击这里加入QQ群
客服邮箱
回到顶部