电脑桌面
添加小米粒文库到电脑桌面
安装后可以在桌面快捷访问

高中数学 3.1《回归分析的基本思想及其初步应用》素材 新人教版选修2-3

高中数学 3.1《回归分析的基本思想及其初步应用》素材 新人教版选修2-3_第1页
1/3
高中数学 3.1《回归分析的基本思想及其初步应用》素材 新人教版选修2-3_第2页
2/3
高中数学 3.1《回归分析的基本思想及其初步应用》素材 新人教版选修2-3_第3页
3/3
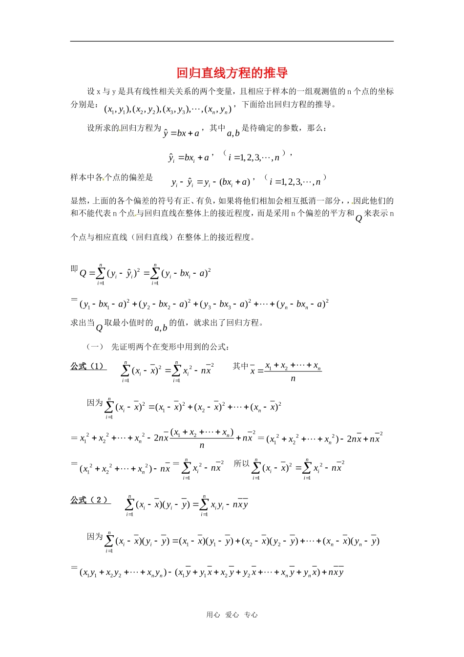
回归直线方程的推导 设 x 与 y 是具有线性相关关系的两个变量,且相应于样本的一组观测值的 n 个点的坐标分别是:112233( ,),(,),(,),,(,)nnx yxyxyxy,下面给出回归方程的推导。 设所求的回归方程为 ˆybxa,其中 ,a b 是待确定的参数,那么:ˆiiybxa,(1,2,3,,in),样本中各个点的偏差是 ˆ()iiiiyyybxa,(1,2,3,,in)显然,上面的各个偏差的符号有正、有负,如果将他们相加会相互抵消一部分,,因此他们的和不能代表 n 个点与回归直线在整体上的接近程度,而是采用 n 个偏差的平方和Q 来表示 n个点与相应直线(回归直线)在整体上的接近程度。即2211ˆ()()nniiiiiiQyyybxa=2222112233()()()()nnybxaybxaybxaybxa求出当Q 取最小值时的 ,a b 的值,就求出了回归方程。 (一) 先证明两个在变形中用到的公式:公式( 1 ) 22211()nniiiixxxnx 其中12nxxxxn 因为2222121()()()()ninixxxxxxxx=22221212()2nnxxxxxxnxnxn=222212()2nxxxnxnx=22212()nxxxnx=221niixnx 所以22211()nniiiixxxnx公式(2) 11()()nniiiiiixxyyx ynxy 因为11221()()()()()()()()niinnixxyyxxyyxxyyxxyy=11221122()()nnnnx yx yx yx yy xx yy xx yy xnxy用心 爱心 专心=12121[()() ]niinnix yxxxyyyyxnxy=12121()()[]nnniiixxxyyyx ynyxnxynn=12niiix ynxynxy=1niiix ynxy 所以11()()nniiiiiixxyyx ynxy (二)推导:将Q 的表达式的各项先展开,再合并、变形2222112233()()()()nnQybxaybxaybxaybxa 22212112222212()[2()2()2()][()()() ]nnnnyyyy bxay bxay bxabxabxabxa -----展开222211111222nnnnniiiiiiiiiiiybx yaybxabxna -----以 a,b 为同类项,合并2222111112()2nniinnniiiiiiiiiyxnanabbxbx yynn --以 a,b 的次数为标准整理22221112()2nnniiiiiiinana ybxbxbx yy...

1、当您付费下载文档后,您只拥有了使用权限,并不意味着购买了版权,文档只能用于自身使用,不得用于其他商业用途(如 [转卖]进行直接盈利或[编辑后售卖]进行间接盈利)。
2、本站所有内容均由合作方或网友上传,本站不对文档的完整性、权威性及其观点立场正确性做任何保证或承诺!文档内容仅供研究参考,付费前请自行鉴别。
3、如文档内容存在违规,或者侵犯商业秘密、侵犯著作权等,请点击“违规举报”。

碎片内容

高中数学 3.1《回归分析的基本思想及其初步应用》素材 新人教版选修2-3

您可能关注的文档

文章天下+ 关注
实名认证
内容提供者

各种文档应有尽有

确认删除?
VIP
微信客服
  • 扫码咨询
会员Q群
  • 会员专属群点击这里加入QQ群
客服邮箱
回到顶部