电脑桌面
添加小米粒文库到电脑桌面
安装后可以在桌面快捷访问

高中数学 第四讲 变换的不变量与矩阵的特征向 4.1.2 特征值与特征向量的的计算学案 新人教A版选修4-2-新人教A版高二选修4-2数学学案

高中数学 第四讲 变换的不变量与矩阵的特征向 4.1.2 特征值与特征向量的的计算学案 新人教A版选修4-2-新人教A版高二选修4-2数学学案_第1页
1/21
高中数学 第四讲 变换的不变量与矩阵的特征向 4.1.2 特征值与特征向量的的计算学案 新人教A版选修4-2-新人教A版高二选修4-2数学学案_第2页
2/21
高中数学 第四讲 变换的不变量与矩阵的特征向 4.1.2 特征值与特征向量的的计算学案 新人教A版选修4-2-新人教A版高二选修4-2数学学案_第3页
3/21
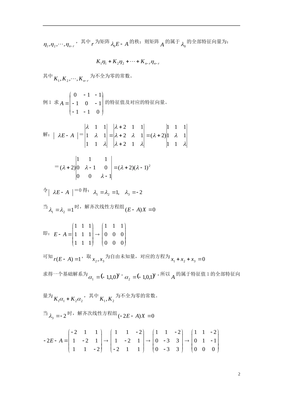
4.1.2 特征值与特征向量的的计算§1.矩阵的特征值和特征向量一、矩阵的特征值的定义定义 1:设 A 为 n 阶矩阵, 是一个数,如果存在非零 n 维向量 ,使得: A,则称 是矩阵 A 的一个特征值,非零向量 为矩阵 A 的属于(或对应于)特征值 的特征向量。下面讨论一般方阵特征值和它所对应特征向量的计算方法。设 A 是 n 阶矩阵,如果0 是 A 的特征值, 是 A 的属于0 的特征向量,则0000()0(0)AAEA   因为 是非零向量,这说明 是齐次线性方程组0)(0XAI的非零解,而齐次线性方程组有非零解的充分必要条件是其系数矩阵0EA的行列式等于零,即0EA=0而属于0 的特征向量就是齐次线性方程组0()0EA x 的非零解。定理 1:设 A 是 n 阶矩阵,则0 是 A 的特征值, 是 A 的属于0 的特征向量的充分必要条件是0 是0EA=0 的根, 是齐次线性方程组0()0EA X 的非零解。定义 2:称矩阵 EA称为 A 的特征矩阵,它的行列式EA称为 A 的特征多项式,EA=0 称为 A 的特征方程,其根为矩阵 A 的特征值。由定理 1 可归纳出求矩阵 A 的特征值及特征向量的步骤:(1)计算EA;(2)求EA=0 的全部根,它们就是 A 的全部特征值;(3)对于矩阵 A 的每一个特征值0 ,求出齐次线性方程组0()0EA X 的一个基础解系:1rn,,,21,其中r 为矩阵0EA的秩;则矩阵 A 的属于0 的全部特征向量为:rnrnKKK2211其中rnKKK,,,21为不全为零的常数。例 1 求011101110A的特征值及对应的特征向量。解:EA=1111111)2(1212112111111=2)1)(2(100010111)2(令EA=0 得:2,1321当121时,解齐次线性方程组()0EA X即:1 1 11111 1 10001 1 1000EA可知 ()1r EA ,取32, xx为自由未知量,对应的方程为0321xxx求得一个基础解系为T0,1,11,T1,0,12,所以 A 的属于特征值 1 的全部特征向量为2211KK,其中21, KK为不全为零的常数。当23时,解齐次线性方程组( 2)0EA X2111121121122121121033...

1、当您付费下载文档后,您只拥有了使用权限,并不意味着购买了版权,文档只能用于自身使用,不得用于其他商业用途(如 [转卖]进行直接盈利或[编辑后售卖]进行间接盈利)。
2、本站所有内容均由合作方或网友上传,本站不对文档的完整性、权威性及其观点立场正确性做任何保证或承诺!文档内容仅供研究参考,付费前请自行鉴别。
3、如文档内容存在违规,或者侵犯商业秘密、侵犯著作权等,请点击“违规举报”。

碎片内容

高中数学 第四讲 变换的不变量与矩阵的特征向 4.1.2 特征值与特征向量的的计算学案 新人教A版选修4-2-新人教A版高二选修4-2数学学案

您可能关注的文档

文章天下+ 关注
实名认证
内容提供者

各种文档应有尽有

相关文档

确认删除?
VIP
微信客服
  • 扫码咨询
会员Q群
  • 会员专属群点击这里加入QQ群
客服邮箱
回到顶部