电脑桌面
添加小米粒文库到电脑桌面
安装后可以在桌面快捷访问

高中数学第一章三角函数专题1复习学案新课标人教B版必修4

高中数学第一章三角函数专题1复习学案新课标人教B版必修4_第1页
1/7
高中数学第一章三角函数专题1复习学案新课标人教B版必修4_第2页
2/7
高中数学第一章三角函数专题1复习学案新课标人教B版必修4_第3页
3/7
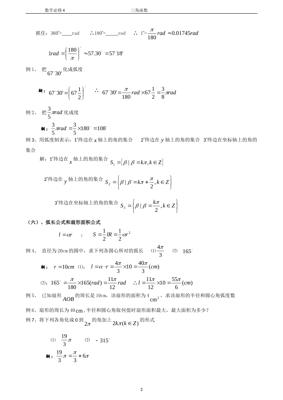
数学必修 4 三角函数三角函数一、【知识梳理】(一)、角的概念的推广1. 讲解:“旋转”形成角,突出“旋转” 注意:“顶点”“始边”“终边”“始边”往往合于 x 轴正半轴 2. “正角”与“负角”——这是由旋转的方向所决定的。记法:角 或 可以简记成3. 由于用“旋转”定义角之后,角的范围大大地扩大了。1 角有正负之分 如:=210 =150 =6602 角可以任意大 实例:旋转 2 周(360×2=720) 3 周(360×3=1080)3 还有零角 一条射线,没有旋转(二)、关于“象限角” 为了研究方便,我们往往在平面直角坐标系中来讨论角,角的顶点合于坐标原点,角的始边合于 x 轴的正半轴,这样一来,角的终边落在第几象限,我们就说这个角是第几象限的角(角的终边落在坐标轴上,则此角不属于任何一个象限)例如:30 390 330是第 象限角 300 60是第 象限角 585 1180是第 象限角 2000是第 象限角等写出终边在一、三象限的角的集合第一象限角的集合:第三象限角的集合:(三)、关于终边相同的角 1.观察:390,330角,它们的终边都与 30角的终边相同2.终边相同的角都可以表示成一个 0到 360的角与)(Zkk个周角的和3.所有与终边相同的角连同在内可以构成一个集合 ZkkS,360| 即:任何一个与角终边相同的角,都可以表示成角与整数个周角的和(四)、弧度与弧度制弧度制—另一种度量角的单位制, 它的单位是 rad 读作弧度 定义:长度等于 的弧所对的圆心角称为 1 弧度的角。 如图:AOB=1rad ,AOC=2rad , 周角=2rad 1. 正角的弧度数是正数,负角的弧度数是负数,零角的弧度数是 02. 角的弧度数的绝对值 rl(l 为弧长,r 为半径)3. 用角度制和弧度制来度量零角,单位不同,但数量相同(都是 0) 用角度制和弧度制来度量任一非零角,单位不同,量数也不同。(五)、角度制与弧度制的换算1orC2rad1radrl=2roAAB 数学必修 4 三角函数 抓住:360= rad ∴180= rad ∴ 1=radrad01745.0180 '185730.571801rad例 1、 把'3067化成弧度 解:2167'3067 ∴ radrad832167180'3067例 2、 把rad53化成度 解:1081805353rad例 3、用弧度制表示:1终边在 x 轴上的角的集合...

1、当您付费下载文档后,您只拥有了使用权限,并不意味着购买了版权,文档只能用于自身使用,不得用于其他商业用途(如 [转卖]进行直接盈利或[编辑后售卖]进行间接盈利)。
2、本站所有内容均由合作方或网友上传,本站不对文档的完整性、权威性及其观点立场正确性做任何保证或承诺!文档内容仅供研究参考,付费前请自行鉴别。
3、如文档内容存在违规,或者侵犯商业秘密、侵犯著作权等,请点击“违规举报”。

碎片内容

高中数学第一章三角函数专题1复习学案新课标人教B版必修4

您可能关注的文档

文章天下+ 关注
实名认证
内容提供者

各种文档应有尽有

确认删除?
VIP
微信客服
  • 扫码咨询
会员Q群
  • 会员专属群点击这里加入QQ群
客服邮箱
回到顶部