电脑桌面
添加小米粒文库到电脑桌面
安装后可以在桌面快捷访问

山东卷高考数学一题多解含17年高考试题-人教版高三数学试题VIP免费

山东卷高考数学一题多解含17年高考试题-人教版高三数学试题_第1页
1/3
山东卷高考数学一题多解含17年高考试题-人教版高三数学试题_第2页
2/3
山东卷高考数学一题多解含17年高考试题-人教版高三数学试题_第3页
3/3
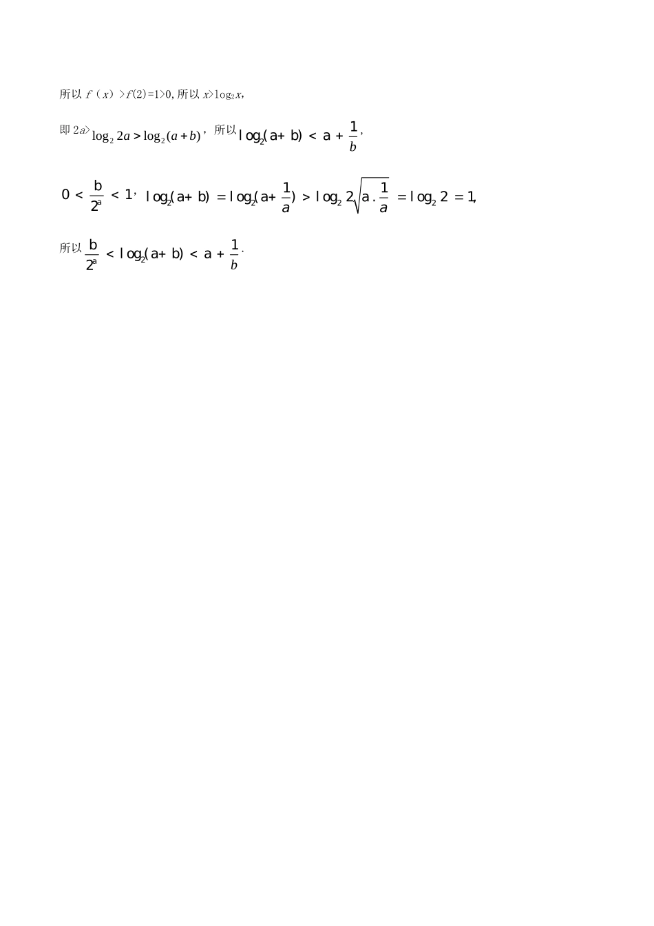
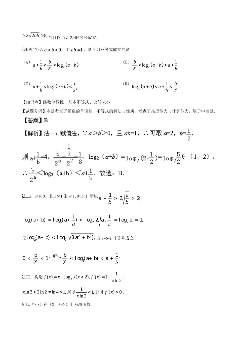
1.(2017.山东文T4)已知34cosx,则2cosx(A)-14(B)14(C)-18(D)18【考点】二倍角公式及其变形【试题分析】本题考查了倍角公式,考查了推理能力与计算能力,属于基础题.【答案】D【解析】法一:34cosx,cos2x=2cos2x-1=81.法二:由34cosx得27sin16x,2141212sin1168cosxx.法三:由34cosx得27sin16x,229712cossin16168cosxxx.3.(2017.山东文T11)若直线1(00)xyabab>,>过点(1,2),则2a+b的最小值为____【知识点】基本不等式【试题分析】本题考查基本不等式的应用,考查“1”代换,考查计算能力,属于基础题.【答案】82a+b=bbb22=bbbbb24224)2(2=)2.(24242244bbbb=8.法三:直线过点(1,2),则,121ba,22211abba即ab≥8,当且仅当b=2a时等号成立,所以2a+b,822ab当且仅当b=2a时等号成立.(理科T7)若0ab,且1ab,则下列不等式成立的是(A)21log2abaabb(B)21log2ababab(C)21log2abaabb(D)21log2ababab【知识点】函数单调性、基本不等式、比较大小【试题分析】本题考查了函数的单调性、不等式的解法与性质,考查了推理能力与计算能力,属于中档题.法二:a>b>0,且ab=1则a>1,0f(2)=1>0,所以x>log2x,即2a>)(log2log22baa,所以b21log(ab)a,ab012,222211log(ab)log(a)log2a.log21,aa所以b2ab1log(ab)a2.

1、当您付费下载文档后,您只拥有了使用权限,并不意味着购买了版权,文档只能用于自身使用,不得用于其他商业用途(如 [转卖]进行直接盈利或[编辑后售卖]进行间接盈利)。
2、本站所有内容均由合作方或网友上传,本站不对文档的完整性、权威性及其观点立场正确性做任何保证或承诺!文档内容仅供研究参考,付费前请自行鉴别。
3、如文档内容存在违规,或者侵犯商业秘密、侵犯著作权等,请点击“违规举报”。

碎片内容

山东卷高考数学一题多解含17年高考试题-人教版高三数学试题

您可能关注的文档

文章天下+ 关注
实名认证
内容提供者

各种文档应有尽有

确认删除?
VIP
微信客服
  • 扫码咨询
会员Q群
  • 会员专属群点击这里加入QQ群
客服邮箱
回到顶部